Таблица теплопроводности строительных материалов и утеплителей
Автор aquatic На чтение 6 мин. Просмотров 8.3k. Обновлено
Строительство каждого объекта лучше начинать с планировки проекта и тщательного расчета теплотехнических параметров. Точные данные позволит получить таблица теплопроводности строительных материалов. Правильное возведение зданий способствует оптимальным климатическим параметрам в помещении. А таблица поможет правильно подобрать сырье, которое будут использоваться для строительства.
Теплопроводность материалов влияет на толщину стен
Назначение теплопроводности
Теплопроводность является показателем передачи тепловой энергии от нагреваемых предметов в помещении к предметам с более низкой температурой. Процесс теплообмена производится, пока температурные показатели не уравняются. Для обозначения тепловой энергии используется специальный коэффициент теплопроводности строительных материалов.
Таблица поможет увидеть все требуемые значения. Параметр обозначает, сколько тепловой энергии пропускается через единицу площади в единицу времени. Чем больше данное обозначение, тем качественнее будет теплообмен. При возведении зданий необходимо применять материал с минимальным значением тепловой проводимости.
На схеме представлены показатели различных вариантов
Коэффициент теплопроводности это такая величина, которая равна количеству теплоты, проходящей через метр толщины материала за час. Использование подобной характеристики обязательно для создания лучшей теплоизоляции. Теплопроводность следует учесть при подборе дополнительных утепляющих конструкций.
Сравнение характеристик разных типов сырья
Что оказывает влияние на показатель теплопроводности?
Теплопроводность определяется такими факторами:
- пористость определяет неоднородность структуры. При пропуске тепла через такие материалы процесс охлаждения незначительный;
- повышенное значение плотности влияет на тесные соприкосновения частиц, что способствует более быстрому теплообмену;
- повышенная влажность увеличивает данный показатель.

Характеристики различных материалов
Использование значений коэффициента теплопроводности на практике
Материалы представлены конструкционными и теплоизоляционными разновидностями. Первый вид обладает большими показателями теплопроводности. Они применяются для строительства перекрытий, ограждений и стен.
При помощи таблицы определяются возможности их теплообмена. Чтобы данный показатель был достаточно низким для нормального микроклимата в помещении стены из некоторых материалов должны быть особенно толстыми. Чтобы этого избежать, рекомендуется использовать дополнительные теплоизолирующие компоненты.
При выборе утеплителя нужно изучить характеристики каждого варианта
Показатели теплопроводности для готовых построек. Виды утеплений
При создании проекта нужно учитывать все способы утечки тепла. Оно может выходить через стены и крышу, а также через полы и двери. Если вы неправильно проведете расчеты проектирования, то придется довольствоваться только тепловой энергией, полученной от отопительных приборов.
Здания, построенные из стандартного сырья: камня, кирпича либо бетона нужно дополнительно утеплять.
Монтаж минеральной ваты
Дополнительная теплоизоляция проводится в каркасных зданиях. При этом деревянный каркас придает жесткости конструкции, а утепляющий материал прокладывается в пространство между стойками. В зданиях из кирпича и шлакоблоков утепление производится снаружи конструкции.
Выбирая утеплители необходимо обращать внимание на такие факторы, как уровень влажности, влияние повышенных температур и типа сооружения. Учитывайте определенные параметры утепляющих конструкций:
- показатель теплопроводности оказывает влияние на качество теплоизолирующего процесса;
- влагопоглощение имеет большое значение при утеплении наружных элементов;
- толщина влияет на надежность утепления. Тонкий утеплитель помогает сохранить полезную площадь помещения;
- важна горючесть. Качественное сырье имеет способность к самозатуханию;
- термоустойчивость отображает способность выдерживать температурные перепады;
- экологичность и безопасность;
- звукоизоляция защищает от шума.

Характеристики разных видов утеплителей
В качестве утеплителей применяются следующие виды:
- минеральная вата устойчива к огню и экологична. К важным характеристикам относится низкая теплопроводность;
Данный материал относится к самым доступным и простым вариантам
- пенопласт – это легкий материал с хорошими утеплительными свойствами. Он легко устанавливается и обладает влагоустойчивостью. Рекомендуется для применения в нежилых строениях;
- базальтовая вата в отличие от минеральной отличается лучшими показателями стойкости к влаге;
- пеноплэкс устойчив к влажности, повышенным температурам и огню. Имеет прекрасные показатели теплопроводности, прост в монтаже и долговечен;
Для пеноплекса характерна пористая структура
- пенополиуретан известен такими качествами, как негорючесть, хорошие водоотталкивающие свойства и высокая пожаростойкость;
- экструдированный пенополистирол при производстве проходит дополнительную обработку.
Обладает равномерной структурой;
Данный вариант бывает разной толщины
- пенофол представляет из себя многослойный утепляющий пласт. В составе присутствует вспененный полиэтилен. Поверхность пластины покрывается фольгой для обеспечения отражения.
Для теплоизоляции могут применяться сыпучие типы сырья. Это бумажные гранулы или перлит. Они имеют стойкость к влаге и к огню. А из органических разновидностей можно рассмотреть волокно из древесины, лен или пробковое покрытие. При выборе, особое внимание уделяйте таким показателям как экологичность и пожаробезопасность.
Обратите внимание! При конструировании теплоизоляции, важно продумать монтаж гидроизолирующей прослойки. Это позволит избежать высокой влажности и повысит сопротивляемость теплообмену.
Таблица теплопроводности строительных материалов: особенности показателей
Таблица теплопроводности строительных материалов содержит показатели различных видов сырья, которое применяется в строительстве.
Используя данную информацию, вы можете легко посчитать толщину стен и количество утеплителя.
Утепление производится в определенных местах
Как использовать таблицу теплопроводности материалов и утеплителей?
В таблице сопротивления теплопередаче материалов представлены наиболее популярные материалы. Выбирая определенный вариант теплоизоляции важно учитывать не только физические свойства, но и такие характеристики как долговечность, цена и легкость установки.
Знаете ли вы, что проще всего выполнять монтаж пенооизола и пенополиуретана. Они распределяются по поверхности в виде пены. Подобные материалы легко заполняют полости конструкций. При сравнении твердых и пенных вариантов, нужно выделить , что пена не образует стыков.
Коэффициент разнообразных типов сырья
Значения коэффициентов теплопередачи материалов в таблице
При произведении вычислений следует знать коэффициент сопротивления теплопередаче. Данное значение является отношением температур с обеих сторон к количеству теплового потока.
Для того чтобы найти теплосопротивление определенных стен и используется таблица теплопроводности.
Значения плотности и теплопроводности
Все расчеты вы можете провести сами. Для этого толщина прослойки теплоизолятора делится на коэффициент теплопроводности. Данное значение часто указывается на упаковке, если это изоляция. Материалы для дома измеряются самостоятельно. Это касается толщины, а коэффициенты можно отыскать в специальных таблицах.
Теплопроводность некоторых конструкций
Коэффициент сопротивления помогает выбрать определенный тип теплоизоляции и толщину слоя материала. Сведения о паропроницаемости и плотности можно посмотреть в таблице.
При правильном использовании табличных данных вы сможете выбрать качественный материал для создания благоприятного микроклимата в помещении.
Теплопроводность строительных материалов (видео)
youtube.com/embed/afnAhqVGX9w?feature=oembed&wmode=opaque» frameborder=»0″ allow=»accelerometer; autoplay; encrypted-media; gyroscope; picture-in-picture» allowfullscreen=»»/>
Коэффициенты теплопроводности основных строительных материалов в размерности Вт/(м*К)=Вт/(м*С) и плотность. Коэффициент теплопроводности строительных материалов — таблица. Вариант для печати.
|
| Вид строительного материала | Коэффициент теплопроводности материалов, Вт/(м·°C) | ||
| Строительный материал в сухом состоянии | Условия А | Условия Б для материала («влажные») | |
| Теплопроводность Шерстяного войлока | 0,045 | ||
| Теплопроводность Цементно-песчаного раствора | 0,58 | 0,76 | 0,93 |
| Теплопроводность Известково-песчаного раствора | 0,47 | 0,7 | 0,81 |
| Теплопроводность обычной Гипсовой штукатурки | 0,25 | ||
Теплопроводность Ваты Минеральной, каменной. При плотности — 180 кг/куб.м. | 0,038 | 0,045 | 0,048 |
| Теплопроводность Ваты Минеральной, каменной. При плотности — 140-175 куб.м. | 0,037 | 0,043 | 0,046 |
| Теплопроводность Ваты Минеральной, каменной. При плотности 80-125 куб.м. | 0,036 | 0,042 | 0,045 |
| Теплопроводность Ваты Минеральной, каменной. При плотности — 40-60 куб.м. | 0,035 | 0,041 | 0,044 |
| Теплопроводность Ваты Минеральной, каменной. При плотности — 25-50 куб.м. | 0,036 | 0,042 | 0,045 |
| Теплопроводность Ваты Минеральной, каменной. При плотности — 85 куб. м. | 0,044 | 0,046 | 0,05 |
| Теплопроводность Ваты Минеральной, каменной. При плотности — 75 куб.м. | 0,04 | 0,042 | 0,047 |
| Теплопроводность Ваты Минеральной, стеклянной. При плотности — 60 куб.м. | 0,038 | 0,04 | 0,045 |
| Теплопроводность Ваты Минеральной, стеклянной. При плотности — 45 куб.м. | 0,039 | 0,041 | 0,045 |
| Теплопроводность Ваты Минеральной, стеклянной. При плотности — 35 куб.м. | 0,039 | 0,041 | 0,046 |
| Теплопроводность Ваты Минеральной, стеклянной. При плотности — 30 куб.м. | 0,04 | 0,042 | 0,046 |
Теплопроводность Ваты Минеральной, стеклянной. При плотности — 20 куб.м. | 0,04 | 0,043 | 0,048 |
| Теплопроводность Ваты Минеральной, стеклянной. При плотности — 17 куб.м. | 0,044 | 0,047 | 0,053 |
| Теплопроводность Ваты Минеральной, стеклянной. При плотности — 15 куб.м. | 0,046 | 0,049 | 0,055 |
| Газобетон и пенобетон на цементном вяжущем портландцементе. При плотности — 1000 куб.м. | 0,29 | 0,38 | 0,43 |
| Газобетон и пенобетон на цементном вяжущем портландцементе. При плотности — 800 куб.м. | 0,21 | 0,33 | 0,37 |
| Газобетон и пенобетон на цементном вяжущем портландцементе. При плотности — 600 куб. м. | 0,14 | 0,22 | 0,26 |
| Газобетон и пенобетон на цементном вяжущем портландцементе. При плотности — 400 куб.м. | 0,11 | 0,14 | 0,15 |
| Газобетон и пенобетон на известняковом вяжущем портландцементе. При плотности — 1000 куб.м. | 0,31 | 0,48 | 0,55 |
| Газобетон и пенобетон на известняковом вяжущем портландцементе. При плотности — 800 куб.м. | 0,23 | 0,39 | 0,45 |
| Газобетон и пенобетон на известняковом вяжущем портландцементе. При плотности — 600 куб.м. | 0,15 | 0,28 | 0,34 |
Газобетон и пенобетон на известняковом вяжущем портландцементе. При плотности — 400 куб.м. | 0,13 | 0,22 | 0,28 |
| Теплопроводность Сосны и ели (волокна поперек). | 0,09 | 0,14 | 0,18 |
| Теплопроводность Сосны и ели (волокна вдоль). | 0,18 | 0,29 | 0,35 |
| Теплопроводность Дуба (волокна поперек). | 0,10 | 0,18 | 0,23 |
| Теплопроводность Дуба (волокна вдоль). | 0,23 | 0,35 | 0,41 |
| Теплопроводность Меди | 382 — 390 | ||
| Теплопроводность Алюминия | 202 — 236 | ||
| Теплопроводность Латуни | 97 — 111 | ||
| Теплопроводность Железа | 92 | ||
| Теплопроводность Олова | 67 | ||
| Теплопроводность Стали | 47 | ||
| Теплопроводность Стекла оконного | 0,76 | ||
| Теплопроводность Аргона | 0,0177 | ||
| Теплопроводность Ксенона | 0,0057 | ||
| Теплопроводность Арболита | 0,07 — 0,17 | ||
| Теплопроводность Пробкового дерева | 0,035 | ||
Теплопроводность Железобетона. При плотности — 2500 куб.м. | 1,69 | 1,92 | 2,04 |
| Теплопроводность Бетона на щебне илигравии. При плотности — 2400 куб.м. | 1,51 | 1,74 | 1,86 |
| Теплопроводность Керамзитобетона. При плотности — 1800 куб.м. | 0,66 | 0,80 | 0,92 |
| Теплопроводность Керамзитобетона. При плотности — 1600 куб.м. | 0,58 | 0,67 | 0,79 |
| Теплопроводность Керамзитобетона. При плотности — 1400 куб.м. | 0,47 | 0,56 | 0,65 |
| Теплопроводность Керамзитобетона. При плотности — 1200 куб.м. | 0,36 | 0,44 | 0,52 |
Теплопроводность Керамзитобетона. При плотности — 1000 куб.м. | 0,27 | 0,33 | 0,41 |
| Теплопроводность Керамзитобетона. При плотности — 800 куб.м. | 0,21 | 0,24 | 0,31 |
| Теплопроводность Керамзитобетона. При плотности — 600 куб.м. | 0,16 | 0,2 | 0,26 |
| Теплопроводность Керамзитобетона. При плотности — 500 куб.м. | 0,14 | 0,17 | 0,23 |
| Теплопроводность Кирпича керамический полнотелого. При кладке на цементно-песчанный раствор. | 0,56 | 0,7 | 0,81 |
Теплопроводность Кирпича силикатного. При кладке на цементно-песчанный раствор. | 0,70 | 0,76 | 0,87 |
Теплопроводность Кирпича керамического пустотелого (плотность 1400 куб. м. с учетом пустот). При кладке на цементно-песчанный раствор. | 0,47 | 0,58 | 0,64 |
| Теплопроводность Кирпича керамического пустотелого. При плотности- 1300 куб.м. с учетом пустот. При кладке на цементно-песчанный раствор. | 0,41 | 0,52 | 0,58 |
| Теплопроводность Кирпича керамического пустотелого. При плотности- 1000 куб.м. с учетом пустот. При кладке на цементно-песчанный раствор. | 0,35 | 0,47 | 0,52 |
| Теплопроводность Кирпича силикатного, 11 пустот (плотность 1500 куб.м.). При кладке на цементно-песчанный раствор. | 0,64 | 0,7 | 0,81 |
Теплопроводность Кирпича силикатного, 14 пустот. Плотность 1400 куб.м.. При кладке на цементно-песчанный раствор.![]() | 0,52 | 0,64 | 0,76 |
| Теплопроводность Гранита | 3,49 | 3,49 | 3,49 |
| Теплопроводность Мрамора | 2,91 | 2,91 | 2,91 |
| Теплопроводность Известняка. При плотности — 2000 куб.м. | 0,93 | 1,16 | 1,28 |
| Теплопроводность Известняка. При плотности — 1800 куб.м. | 0,7 | 0,93 | 1,05 |
Теплопроводность Известняка. | 0,58 | 0,73 | 0,81 |
| Теплопроводность Известняка. При плотности — 1400 куб.м. | 0,49 | 0,56 | 0,58 |
Теплопроводность Туфа. При плотности — 2000 куб.м. | 0,76 | 0,93 | 1,05 |
| Теплопроводность Туфа. При плотности — 1800 куб.м. | 0,56 | 0,7 | 0,81 |
| Теплопроводность Туфа. При плотности — 1600 куб.м. | 0,41 | 0,52 | 0,64 |
| Теплопроводность Туфа. При плотности — 1400 куб.м. | 0,33 | 0,43 | 0,52 |
| Теплопроводность Туфа. При плотности — 1200 куб.м. | 0,27 | 0,35 | 0,41 |
| Теплопроводность Туфа. При плотности — 1000 куб.м. | 0,21 | 0,24 | 0,29 |
Теплопроводность Песок строительного (сухого, в соответствии с ГОСТ 8736-77). При плотности — 1600 куб.м. | 0,35 | ||
| Теплопроводность — Фанера клееная | 0,12 | 0,15 | 0,18 |
| Теплопроводность ДСП, ДВП. При плотности — 1000 куб.м. | 0,15 | 0,23 | 0,29 |
| Теплопроводность ДСП, ДВП. При плотности — 800 куб.м. | 0,13 | 0,19 | 0,23 |
| Теплопроводность ДСП, ДВП. При плотности — 600 куб.м. | 0,11 | 0,13 | 0,16 |
| Теплопроводность ДСП, ДВП. При плотности — 400 куб.м. | 0,08 | 0,11 | 0,13 |
| Теплопроводность ДСП, ДВП. При плотности — 200 куб. м. | 0,06 | 0,07 | 0,08 |
| Теплопроводность Пакли | 0,05 | 0,06 | 0,07 |
| Теплопроводность Гипсокартона. Листы гипсовые обшивочные. При плотности — 1050 куб.м. | 0,15 | 0,34 | 0,36 |
| Теплопроводность Гипсокартона. Листы гипсовые обшивочные. При плотности — 800 куб.м. | 0,15 | 0,19 | 0,21 |
Теплопроводность Линолеума из ПВХ на теплоизолирующей основе. | 0,38 | 0,38 | 0,38 |
| Теплопроводность Линолеума из ПВХ на теплоизолирующей основе. При плотности — 1600 куб.м. | 0,33 | 0,33 | 0,33 |
Теплопроводность Линолеума из ПВХ на тканевой основе. | 0,35 | 0,35 | 0,35 |
| Теплопроводность Линолеума из ПВХ на тканевой основе. При плотности — 1600 куб.м. | 0,29 | 0,29 | 0,29 |
| Теплопроводность Линолеума из ПВХ на тканевой основе. При плотности — 1400 куб.м. | 0,2 | 0,23 | 0,23 |
| Теплопроводность, Эковата | 0,037 — 0,042 | ||
| Телопропводность Гравия и Керамзита. При плотности — 250 куб.м. | 0,099 — 0,1 | 0,11 | 0,12 |
| Телопроводность Гравия и Керамзита. При плотности — 300 куб.м. | 0,108 | 0,12 | 0,13 |
Телопроводность Гравия и Керамзита. При плотности — 350 куб.м. | 0,115 — 0,12 | 0,125 | 0,14 |
| Телопроводность Гравия и Керамзита. При плотности — 400 куб.м. | 0,12 | 0,13 | 0,145 |
| Телопроводность Гравия и Керамзита. При плотности — 450 куб.м. | 0,13 | 0,14 | 0,155 |
| Телопроводность Гравия и Керамзита. При плотности — 500 куб.м. | 0,14 | 0,15 | 0,165 |
| Телопроводность Гравия и Керамзита. При плотности — 600 куб.м. | 0,14 | 0,17 | 0,19 |
| Телопроводность Гравия и Керамзита. При плотности — 800 куб.м. | 0,18 | ||
Теплопроводность Гипсоплита. При плотности — 1350 куб.м.. | 0,35 | 0,50 | 0,56 |
| Теплопроводность Гипсоплита. При плотности — 1100 куб.м. | 0,23 | 0,35 | 0,41 |
Коэффициенты теплопроводности строительных материалов в таблицах
Любое строительство независимо от его размера всегда начинается с разработки проекта. Его цель – спроектировать не только внешний вид будущего строения, еще и просчитать основные теплотехнические характеристики. Ведь основной задачей строительства считается сооружение прочных, долговечных зданий, способных поддерживать здоровый и комфортный микроклимат, без лишних затрат на отопление. Несомненную помощь при выборе сырья, используемого для возведения постройки, окажет таблица теплопроводности строительных материалов: коэффициенты.
Тепло в доме напрямую зависит от коэффициента теплопроводности строительных материалов.
Блок: 1/6 | Кол-во символов: 628
Источник: http://remoo.ru/materialy/osnovnaya-tablitsa-teploprovodnosti-stroitelnyih-materialov
Разделы статьи
Теплопроводность: понятие и теория
Теплопроводность представляет собой процесс перемещения тепловой энергии от прогретых частей к холодным. Обменные процессы происходят до полного равновесия температурного значения.
Комфортный микроклимат в доме зависит от качественной теплоизоляции всех поверхностей
Процесс теплопередачи характеризуется промежутком времени, в течение которого выравниваются температурные значения. Чем больше времени проходит, тем ниже теплопроводность строительных материалов, свойства которых отображает таблица. Для определения данного показателя применяется такое понятие как коэффициент теплопроводности. Он определяет, какое количество тепловой энергии проходит через единицу площади определенной поверхности. Чем данный показатель больше, тем с большей скоростью будет остывать здание.
Таблица теплопроводности нужна при проектировании защиты постройки от теплопотерь. При этом можно снизить эксплуатационный бюджет.
Потери тепла на разных участках постройки будут отличаться
Полезный совет! При постройке домов стоит использовать сырье с минимальной проводимостью тепла.
Блок: 2/6 | Кол-во символов: 1095
Источник: https://HomeMyHome.ru/teploprovodnost-stroitelnykh-materialov-tablica.html
Что такое теплопроводность и термическое сопротивление
При выборе строительных материалов для строительства необходимо обращать внимание на характеристики материалов. Одна из ключевых позиций — теплопроводность. Она отображается коэффициентом теплопроводности. Это количество тепла, которое может провести тот или иной материал за единицу времени. То есть, чем меньше этот коэффициент, тем хуже материал проводит тепло. И наоборот, чем выше цифра, тем тепло отводится лучше.
Диаграмма, которая иллюстрирует разницу в теплопроводности материалов
Материалы с низкой теплопроводностью используются для утепления, с высокой — для переноса или отвода тепла.
Например, радиаторы делают из алюминия, меди или стали, так как они хорошо передают тепло, то есть имеют высокий коэффициент теплопроводности. Для утепления используются материалы с низким коэффициентом теплопроводности — они лучше сохраняют тепло. В случае если объект состоит из нескольких слоев материала, его теплопроводность определяется как сумма коэффициентов всех материалов. При расчетах, рассчитывается теплопроводность каждой из составляющих «пирога», найденные величины суммируются. В общем получаем теплоизоляцонную способность ограждающей конструкции (стен, пола, потолка).
Теплопроводность строительных материалов показывает количество тепла, которое он пропускает за единицу времени
Есть еще такое понятие как тепловое сопротивление. Оно отображает способность материала препятствовать прохождению по нему тепла. То есть, это обратная величина по отношению к теплопроводности. И, если вы видите материал с высоким тепловым сопротивлением, его можно использовать для теплоизоляции.
Примером теплоизоляционных материалов может случить популярная минеральная или базальтовая вата, пенопласт и т.д. Материалы с низким тепловых сопротивлением нужны для отведения или переноса тепла. Например, алюминиевые или стальные радиаторы используют для отопления, так как они хорошо отдают тепло.
Блок: 2/5 | Кол-во символов: 1952
Источник: https://stroychik.ru/strojmaterialy-i-tehnologii/teploprovodnost-stroitelnyh-materialov
Таблица теплопроводности теплоизоляционных материалов
Чтобы в доме было проще сохранять тепло зимой и прохладу летом, теплопроводность стен, пола и кровли должна быть не менее определенной цифры, которая рассчитывается для каждого региона. Состав «пирога» стен, пола и потолка, толщина материалов берутся с таким учетом чтобы суммарная цифра была не меньше (а лучше — хоть немного больше) рекомендованной для вашего региона.
Коэффициент теплопередачи материалов современных строительных материалов для ограждающих конструкций
При выборе материалов надо учесть, что некоторые из них (не все) в условиях повышенной влажности проводят тепло гораздо лучше.
Если при эксплуатации возможно возникновение такой ситуации на продолжительный срок, в расчетах используют теплопроводность для этого состояния. Коэффициенты теплопроводности основных материалов, которые используются для утепления, приведены в таблице.
Наименование материала /Коэффициент теплопроводности Вт/(м·°C)
| В сухом состоянии | При нормальной влажности | При повышенной влажности | |
| Войлок шерстяной | 0,036-0,041 | 0,038-0,044 | 0,044-0,050 |
| Каменная минеральная вата 25-50 кг/м3 | 0,036 | 0,042 | 0,,045 |
| Каменная минеральная вата 40-60 кг/м3 | 0,035 | 0,041 | 0,044 |
| Каменная минеральная вата 80-125 кг/м3 | 0,036 | 0,042 | 0,045 |
| Каменная минеральная вата 140-175 кг/м3 | 0,037 | 0,043 | 0,0456 |
| Каменная минеральная вата 180 кг/м3 | 0,038 | 0,045 | 0,048 |
| Стекловата 15 кг/м3 | 0,046 | 0,049 | 0,055 |
| Стекловата 17 кг/м3 | 0,044 | 0,047 | 0,053 |
| Стекловата 20 кг/м3 | 0,04 | 0,043 | 0,048 |
| Стекловата 30 кг/м3 | 0,04 | 0,042 | 0,046 |
| Стекловата 35 кг/м3 | 0,039 | 0,041 | 0,046 |
| Стекловата 45 кг/м3 | 0,039 | 0,041 | 0,045 |
| Стекловата 60 кг/м3 | 0,038 | 0,040 | 0,045 |
| Стекловата 75 кг/м3 | 0,04 | 0,042 | 0,047 |
| Стекловата 85 кг/м3 | 0,044 | 0,046 | 0,050 |
| Пенополистирол (пенопласт, ППС) | 0,036-0,041 | 0,038-0,044 | 0,044-0,050 |
| Экструдированный пенополистирол (ЭППС, XPS) | 0,029 | 0,030 | 0,031 |
| Пенобетон, газобетон на цементном растворе, 600 кг/м3 | 0,14 | 0,22 | 0,26 |
| Пенобетон, газобетон на цементном растворе, 400 кг/м3 | 0,11 | 0,14 | 0,15 |
| Пенобетон, газобетон на известковом растворе, 600 кг/м3 | 0,15 | 0,28 | 0,34 |
| Пенобетон, газобетон на известковом растворе, 400 кг/м3 | 0,13 | 0,22 | 0,28 |
| Пеностекло, крошка, 100 — 150 кг/м3 | 0,043-0,06 | ||
| Пеностекло, крошка, 151 — 200 кг/м3 | 0,06-0,063 | ||
| Пеностекло, крошка, 201 — 250 кг/м3 | 0,066-0,073 | ||
| Пеностекло, крошка, 251 — 400 кг/м3 | 0,085-0,1 | ||
| Пеноблок 100 — 120 кг/м3 | 0,043-0,045 | ||
| Пеноблок 121- 170 кг/м3 | 0,05-0,062 | ||
| Пеноблок 171 — 220 кг/м3 | 0,057-0,063 | ||
| Пеноблок 221 — 270 кг/м3 | 0,073 | ||
| Эковата | 0,037-0,042 | ||
| Пенополиуретан (ППУ) 40 кг/м3 | 0,029 | 0,031 | 0,05 |
| Пенополиуретан (ППУ) 60 кг/м3 | 0,035 | 0,036 | 0,041 |
| Пенополиуретан (ППУ) 80 кг/м3 | 0,041 | 0,042 | 0,04 |
| Пенополиэтилен сшитый | 0,031-0,038 | ||
| Вакуум | 0 | ||
Воздух +27°C. 1 атм | 0,026 | ||
| Ксенон | 0,0057 | ||
| Аргон | 0,0177 | ||
| Аэрогель (Aspen aerogels) | 0,014-0,021 | ||
| Шлаковата | 0,05 | ||
| Вермикулит | 0,064-0,074 | ||
| Вспененный каучук | 0,033 | ||
| Пробка листы 220 кг/м3 | 0,035 | ||
| Пробка листы 260 кг/м3 | 0,05 | ||
| Базальтовые маты, холсты | 0,03-0,04 | ||
| Пакля | 0,05 | ||
| Перлит, 200 кг/м3 | 0,05 | ||
| Перлит вспученный, 100 кг/м3 | 0,06 | ||
| Плиты льняные изоляционные, 250 кг/м3 | 0,054 | ||
| Полистиролбетон, 150-500 кг/м3 | 0,052-0,145 | ||
| Пробка гранулированная, 45 кг/м3 | 0,038 | ||
| Пробка минеральная на битумной основе, 270-350 кг/м3 | 0,076-0,096 | ||
| Пробковое покрытие для пола, 540 кг/м3 | 0,078 | ||
| Пробка техническая, 50 кг/м3 | 0,037 |
Часть информации взята нормативов, которые прописывают характеристики определенных материалов (СНиП , СП , СНиП II-3-79* (приложение 2)).
Те материал, которые не прописаны в стандартах, найдены на сайтах производителей. Так как стандартов нет, у разных производителей они могут значительно отличаться, потому при покупке обращайте внимание на характеристики каждого покупаемого материала.
Блок: 3/5 | Кол-во символов: 3533
Источник: https://stroychik.ru/strojmaterialy-i-tehnologii/teploprovodnost-stroitelnyh-materialov
Применение показателя теплопроводности на практике
В строительстве все материалы условно подразделяются на теплоизоляционные и конструкционные. Конструкционное сырье отличается наибольшими показателями теплопроводности, но именно его применяют для постройки стен, перекрытий, прочих ограждений. Согласно таблице теплопроводности строительных материалов, при возведении стен из железобетона, для низкого теплообмена с окружающей средой толщина конструкции должна быть около 6 метров. В таком случае строение получится огромным, громоздким и потребует немалых затрат.
Наглядный пример — при какой толщине различных материалов их коэффициент теплопроводности будет одинаковым
Поэтому при возведении постройки следует отдельное внимание уделять дополнительным теплоизолирующим материалам.
Слой теплоизоляции может не понадобиться только для построек из дерева или пенобетона, но даже при использовании подобного низкопроводного сырья толщина конструкции должна быть не менее 50 см.
Нужно знать! У теплоизоляционных материалов значения показателя теплопроводности минимальны.
Блок: 4/6 | Кол-во символов: 1066
Источник: http://remoo.ru/materialy/osnovnaya-tablitsa-teploprovodnosti-stroitelnyih-materialov
Эффективность многослойных конструкций
Плотность и теплопроводность
В настоящее время нет такого строительного материала, высокая несущая способность которого сочеталась бы с низкой теплопроводностью. Строительство зданий по принципу многослойных конструкций позволяет:
- соответствовать расчётным нормам строительства и энергосбережения;
- оставлять размеры ограждающих конструкций в пределах разумного;
- уменьшить материальные затраты на строительство объекта и его обслуживание;
- добиться долговечности и ремонтопригодности (например, при замене одного листа минеральной ваты).

Комбинация конструкционного материала и теплоизоляционного позволяет обеспечить прочность и снизить потерю тепловой энергии до оптимального уровня. Поэтому при проектировании стен при расчётах учитывается каждый слой будущей ограждающей конструкции.
Важно также учитывать плотность при строительстве дома и при его утеплении.
Плотность вещества – фактор, влияющий на его теплопроводность, способность задерживать в себе основной теплоизолятор – воздух.
Расчёт толщины стен и утеплителя
Расчёт толщины стены зависит от следующих показателей:
- плотности;
- расчётной теплопроводности;
- коэффициента сопротивления теплопередачи.
Согласно установленных норм, значение показателя сопротивления теплопередачи наружных стен должно быть не менее 3,2λ Вт/м •°С.
Значения таблиц теплопроводности строительных материалов применяются при расчётах:
- теплоизоляции фасадов;
- общестроительной изоляции;
- изоляционных материалов при устройстве кровли;
- технической изоляции.

Задача выбора оптимальных материалов для строительства, конечно же, подразумевает более комплексный подход. Однако даже такие простые расчёты уже на первых этапах проектирования позволяют определить наиболее подходящие материалы и их количество.
Блок: 4/4 | Кол-во символов: 2577
Источник: https://kotel.guru/uteplenie/dom/koefficienty-teploprovodnosti-stroitelnyh-materialov-v-tablicah.html
Коэффициент теплопроводности строительных материалов: как применяется на практике и таблица
Практические значение коэффициента – это правильно проведенный расчет толщины несущих конструкций с учетом используемых утеплителей. Необходимо отметить, что возводимое здание – это несколько ограждающих конструкций, через которые происходит утечка тепла. И у каждой их них свой процент теплопотерь.
- через стены уходит до 30% тепловой энергии общего расхода.
- Через полы – 10%.
- Через окна и двери – 20%.
- Через крышу – 30%.
Теплопотери дома
То есть, получается так, что если неправильно рассчитать теплопроводность всех ограждений, то проживающим в таком доме людям придется довольствоваться лишь 10% тепловой энергии, которое выделяет отопительная система.
90% – это, как говорят, выброшенные на ветер деньги.
“Идеальный дом должен быть построен из теплоизоляционных материалов, в котором все 100% тепла будут оставаться внутри. Но по таблице теплопроводности материалов и утеплителей вы не найдете тот идеальный стройматериал, из которого можно было бы возвести такое сооружение. Потому что пористая структура – это низкие несущие способности конструкции. Исключением может быть древесина, но и она не идеал.”
Стена из бревен – одна из самых утепленных
Поэтому при строительстве домов стараются использовать разные строительные материалы, дополняющие друг друга по теплопроводности. При этом очень важно соотносить толщину каждого элемента в общей строительной конструкции. В этом плане идеальным домом можно считать каркасный. У него деревянная основа, уже можно говорить о теплом доме, и утеплители, которые закладываются между элементами каркасной постройки. Конечно, с учетом средней температуры региона придется точно рассчитать толщину стен и других ограждающих элементов.
Но, как показывает практика, вносимые изменения не столь значительны, чтобы можно было бы говорить о больших капитальных вложениях.
Устройство каркасного дома в плане его утепления
Рассмотрим несколько часто используемых строительных материалов и проведем сравнение их теплопроводность по толщине.
Теплопроводность кирпича: таблица по разновидностям
ФотоВид кирпичаТеплопроводность, Вт/м*К
| Керамический полнотелый | 0,5-0,8 | |
| Керамический щелевой | 0,34-0,43 | |
| Поризованный | 0,22 | |
| Силикатный полнотелый | 0,7-0,8 | |
| Силикатный щелевой | 0,4 | |
| Клинкерный | 0,8-0,9 |
Тепловая проводимость кирпичной кладки при разнице температуры в 10°С
Теплопроводность дерева: таблица по породам
Порода дереваБерезаДуб поперек волоконДуб вдоль волоконЕльКедрКленЛиственница
| Теплопроводность, Вт/м С | 0,15 | 0,2 | 0,4 | 0,11 | 0,095 | 0,19 | 0,13 |
Порода дереваЛипаПихтаПробковое деревоСосна поперек волоконСосна вдоль волоконТополь
| Теплопроводность, Вт/м С | 0,15 | 0,15 | 0,045 | 0,15 | 0,4 | 0,17 |
Коэффициент теплопроводности пробкового дерева самый низкий из всех пород древесины.
Именно пробка часто используется в качестве теплоизоляционного материала при проведении утеплительных мероприятий.
У древесины теплопроводность ниже, чем у бетона и кирпича
Теплопроводность металлов: таблица
Данный показатель у металлов изменяется с изменением температуры, в которой они применяются. И здесь соотношение такое – чем выше температура, тем ниже коэффициент. В таблице покажем металлы, которые используются в строительной сфере.
Вид металлаСтальЧугунАлюминийМедь
| Теплопроводность, Вт/м С | 47 | 62 | 236 | 328 |
Теперь, что касается соотношения с температурой.
- У алюминия при температуре -100°С теплопроводность составляет 245 Вт/м*К. А при температуре 0°С – 238. При +100°С – 230, при +700°С – 0,9.
- У меди: при -100°С –405, при 0°С – 385, при +100°С – 380, а при +700°С – 350.
Тепловая проводимость у меди выше, чем у стали почти в семь раз
Таблица теплопроводности других материалов
В основном нас будет интересовать таблица теплопроводности изоляционных материалов.
Необходимо отметить, что если у металлов данный параметр зависит от температуры, то у утеплителей от их плотности. Поэтому в таблице будут расставлены показатели с учетом плотности материалом.
Теплоизоляционный материалПлотность, кг/м³Теплопроводность, Вт/м*К
| Минеральная вата (базальтовая) | 50 | 0,048 |
| 100 | 0,056 | |
| 200 | 0,07 | |
| Стекловата | 155 | 0,041 |
| 200 | 0,044 | |
| Пенополистирол | 40 | 0,038 |
| 100 | 0,041 | |
| 150 | 0,05 | |
| Пенополистирол экструдированный | 33 | 0,031 |
| Пенополиуретан | 32 | 0,023 |
| 40 | 0,029 | |
| 60 | 0,035 | |
| 80 | 0,041 |
И таблица теплоизоляционных свойств строительных материалов.
Основные из них уже рассмотрены, обозначим те, которые в таблицы не вошли, и которые относятся к категории часто используемых.
Строительный материалПлотность, кг/м³Теплопроводность, Вт/м*К
| Бетон | 2400 | 1,51 |
| Железобетон | 2500 | 1,69 |
| Керамзитобетон | 500 | 0,14 |
| Керамзитобетон | 1800 | 0,66 |
| Пенобетон | 300 | 0,08 |
| Пеностекло | 400 | 0,11 |
Коэффициент теплопроводности воздушной прослойки
Всем известно, что воздух, если его оставить внутри строительного материала или между слоями стройматериалов, это великолепный утеплитель. Почему так происходит, ведь сам воздух, как таковой, не может сдерживать тепло. Для этого надо рассмотреть саму воздушную прослойку, огражденную двумя слоями стройматериалов. Один из них соприкасается с зоной положительных температур, другой с зоной отрицательный.
Воздушная прослойка между внешней облицовкой и теплоизоляционным слоем
Тепловая энергия движется от плюса к минусу, и встречает на своем пути слой воздуха. Что происходит внутри:
- Конвекция теплого воздуха внутри прослойки.
- Тепловое излучение от материала с плюсовой температурой.
Поэтому сам тепловой поток – это сумма двух факторов с добавлением теплопроводности первого материала. Необходимо сразу отметить, что излучение занимает большую часть теплового потока. Сегодня все расчеты теплосопротивления стен и других несущих ограждающих конструкций проводят на онлайн-калькуляторах. Что касается воздушной прослойки, то такие расчеты провести сложно, поэтому берутся значения, которые в 50-х годах прошлого столетия были получены лабораторными исследованиями.
Воздушная прослойка внутри стены
В них четко оговаривается, что если разница температур стен, ограниченных воздухом, составляет 5°С, то излучение возрастает с 60% до 80%, если увеличить толщину прослойки с 10 до 200 мм.
То есть, общий объем теплового потока остается тот же, излучение вырастает, а значит, теплопроводность стены падает. И разница значительная: с 38% до 2%. Правда, возрастает конвекция с 2% до 28%. Но так как пространство замкнутое, то движение воздуха внутри него никак не действует на внешние факторы.
Блок: 5/6 | Кол-во символов: 6383
Источник: https://seti.guru/tablitsyi-teploprovodnosti-raznyih-stroitelnyih-materialov
Особенности теплопроводности готового строения
Планируя проект будущего дома, нужно обязательно учесть возможные потери тепловой энергии. Большая часть тепла уходит через двери, окна, стены, крышу и полы.
В многоквартирных домах потери тепла будут отличаться по сравнению с частным строением
Если не выполнять расчеты по теплосбережению дома, то в помещении будет прохладно. Рекомендуется постройки из кирпича, бетона и камня дополнительно утеплять.
Утепление построек из бетона или камня повышает комфортные условия внутри здания
Полезный совет! Перед тем как утеплять жилище, необходимо продумать качественную гидроизоляцию.
При этом даже повышенная влажность не повлияет на особенности теплоизоляции в помещении.
Разновидности утепления конструкций
Теплое здание получится при оптимальном сочетании конструкции из прочных материалов и качественного теплоизолирующего слоя. К подобным сооружениям можно отнести следующие:
Монтажные работы по утеплению каркасного сооружения требуют использования дополнительных конструктивных элементов
- здание из стандартных материалов: шлакоблоков или кирпича. При этом утепление часто проводится по наружной стороне.
Особенности монтажа теплоизолирующего материала с внутренней стороны
Блок: 5/6 | Кол-во символов: 1212
Источник: https://HomeMyHome.ru/teploprovodnost-stroitelnykh-materialov-tablica.html
Расчет толщины стены по теплопроводности вручную по формулам или калькулятором
Рассчитать толщину стены не так просто. Для этого нужно сложить все коэффициенты теплопроводности материалов, которые были использованы для сооружения стены.
К примеру, кирпич, штукатурный раствор снаружи, плюс наружная облицовка, если такая будет использоваться. Внутренние выравнивающие материалы, это может быть все та же штукатурка или гипсокартонные листы, другие плитные или панельные покрытия. Если есть воздушная прослойка, то учитывают и ее.
Толщина стен из разных стройматериалов с одинаковым тепловым сопротивлением
Есть так называемая удельная теплопроводность по регионам, которую берут за основу. Так вот расчетная величина не должна быть больше удельной. В таблице ниже по городам дана удельная тепловая проводимость.
РегионМоскваСанкт-ПетербургРостовСочи
| Теплопроводность | 3,14 | 3,18 | 2,75 | 2,1 |
То есть, чем южнее, тем общая теплопроводность материалов должна быть меньше. Соответственно, можно уменьшать и толщину стены. Что касается онлайн-калькулятора, то предлагаем ниже посмотреть видео, на котором разбирается, как правильно пользоваться таким расчетным сервисом.
Блок: 6/6 | Кол-во символов: 1313
Источник: https://seti.guru/tablitsyi-teploprovodnosti-raznyih-stroitelnyih-materialov
Кол-во блоков: 10 | Общее кол-во символов: 19759
Количество использованных доноров: 5
Информация по каждому донору:
- https://stroychik.ru/strojmaterialy-i-tehnologii/teploprovodnost-stroitelnyh-materialov: использовано 2 блоков из 5, кол-во символов 5485 (28%)
- https://seti.guru/tablitsyi-teploprovodnosti-raznyih-stroitelnyih-materialov: использовано 2 блоков из 6, кол-во символов 7696 (39%)
- https://kotel.guru/uteplenie/dom/koefficienty-teploprovodnosti-stroitelnyh-materialov-v-tablicah.html: использовано 1 блоков из 4, кол-во символов 2577 (13%)
- https://HomeMyHome.ru/teploprovodnost-stroitelnykh-materialov-tablica.html: использовано 2 блоков из 6, кол-во символов 2307 (12%)
- http://remoo.ru/materialy/osnovnaya-tablitsa-teploprovodnosti-stroitelnyih-materialov: использовано 2 блоков из 6, кол-во символов 1694 (9%)
Таблица теплопроводности строительных материалов
Прочный и теплый дом – это основное требование, которое предъявляется проектировщикам и строителям.
Поэтому еще на стадии проектирования зданий в конструкцию закладываются две разновидности стройматериалов: конструкционные и теплоизоляционные. Первые обладают повышенной прочностью, но большой теплопроводностью, и именно их чаще всего и используют для возведения стен, перекрытий, оснований и фундаментов. Вторые – это материалы с низкой теплопроводностью. Их основное назначение – закрыть собой конструкционные материалы, чтобы понизить их показатель тепловой проводимости. Поэтому для облегчения расчетов и выбора используется таблица теплопроводности строительных материалов.
Теплый дом – это несколько слоев разных строительных материалов
Читайте в статье:
Что такое теплопроводность
Законы физики определяют один постулат, который гласит, что тепловая энергия стремится от среды с высокой температурой к среде с низкой температурой. При этом, проходя через строительный материал, тепловая энергия затрачивает какое-то время. Переход не состоится лишь в том случае, если температура на разных сторонах от стройматериала одинаковая.
То есть, получается так, что процесс перехода тепловой энергии, к примеру, через стену, это время проникновения тепла. И чем больше времени на это затрачивается, тем ниже теплопроводность стены. Вот такое соотношение. К примеру, теплопроводность различных материалов:
- бетон –1,51 Вт/м×К;
- кирпич – 0,56;
- древесина – 0,09-0,1;
- песок – 0,35;
- керамзит – 0,1;
- сталь – 58.
Чтобы было понятно, о чем идет речь, надо обозначить, что бетонная конструкции не будет ни под каким предлогом пропускать через себя тепловую энергию, если ее толщина будет в пределах 6 м. Понятно, что это просто невозможно в домостроении. А значит, придется для снижения теплопроводности использовать другие материалы, у которых показатель ниже. И ими облицовывать бетонное сооружение.
Понятие теплопроводности
Что такое коэффициент теплопроводности
Коэффициент теплоотдачи или теплопроводности материалов, который также обозначен в таблицах, это характеристика тепловой проводимости.
Он обозначает количество тепловой энергии, проходящий через толщу стройматериала за определенный промежуток времени.
В принципе, коэффициент обозначает именно количественный показатель. И чем он меньше, тем теплопроводность материала лучше. Из сравнения выше видно, что стальные профили и конструкции обладают самым высоким коэффициентом. А значит, они практически не держат тепло. Из строительных материалов,сдерживающих тепло, которые используются для сооружения несущих конструкций, это древесина.
Но надо обозначить и другой момент. К примеру, все та же сталь. Этот прочный материал используют для отведения тепла, где есть необходимость сделать быстрый перенос. К примеру, радиаторы отопления. То есть, высокий показатель теплопроводности – это не всегда плохо.
Коэффициент теплопроводности стены из разных материалов при разной толщине
Что влияет на теплопроводность строительных материалов
Есть несколько параметров, которые сильно влияют на тепловую проводимость.
- Структура самого материала.

- Его плотность и влажность.
Что касается структуры, то здесь огромное разнообразие: однородная плотная, волокнистая, пористая, конгломератная (бетон), рыхлозернистая и прочее. Так вот надо обозначить, что чем неоднороднее структура у материала, тем ниже у него теплопроводность. Все дело в том, что проходить сквозь вещество, в котором большой объем занимают поры разного размера, тем сложнее энергии через нее перемещаться. А ведь в данном случае тепловая энергия – это излучение. То есть, оно не проходит равномерно, а начинает изменять направления, теряя силу внутри материала.
Пористая структура строительного материала
Теперь о плотности. Этот параметр обозначает, на каком расстоянии между собой располагаются частички материала внутри его самого. Исходя из предыдущей позиции, можно сделать вывод: чем меньше это расстояние, а значит, больше плотность, тем тепловая проводимость выше. И наоборот. Тот же пористый материал имеет плотность меньше, чем однородный.
У влажной стены тепловая проводимость выше
Влажность – это вода, которая имеет плотную структуру.
И ее теплопроводность равна 0,6 Вт/м*К. Достаточно высокий показатель, сравнимый с коэффициентом теплопроводности кирпича. Поэтому когда она начинает проникать в структуру материала и заполнять собой поры, это увеличение тепловой проводимости.
Коэффициент теплопроводности строительных материалов: как применяется на практике и таблица
Практические значение коэффициента – это правильно проведенный расчет толщины несущих конструкций с учетом используемых утеплителей. Необходимо отметить, что возводимое здание – это несколько ограждающих конструкций, через которые происходит утечка тепла. И у каждой их них свой процент теплопотерь.
- через стены уходит до 30% тепловой энергии общего расхода.
- Через полы – 10%.
- Через окна и двери – 20%.
- Через крышу – 30%.
Теплопотери дома
То есть, получается так, что если неправильно рассчитать теплопроводность всех ограждений, то проживающим в таком доме людям придется довольствоваться лишь 10% тепловой энергии, которое выделяет отопительная система.
90% – это, как говорят, выброшенные на ветер деньги.
Мнение эксперта
Андрей Павленков
Инженер-проектировщик ОВиК (отопление, вентиляция и кондиционирование) ООО «АСП Северо-Запад»
Спросить у специалиста
“Идеальный дом должен быть построен из теплоизоляционных материалов, в котором все 100% тепла будут оставаться внутри. Но по таблице теплопроводности материалов и утеплителей вы не найдете тот идеальный стройматериал, из которого можно было бы возвести такое сооружение. Потому что пористая структура – это низкие несущие способности конструкции. Исключением может быть древесина, но и она не идеал.”
Стена из бревен – одна из самых утепленных
Поэтому при строительстве домов стараются использовать разные строительные материалы, дополняющие друг друга по теплопроводности. При этом очень важно соотносить толщину каждого элемента в общей строительной конструкции. В этом плане идеальным домом можно считать каркасный. У него деревянная основа, уже можно говорить о теплом доме, и утеплители, которые закладываются между элементами каркасной постройки.
Конечно, с учетом средней температуры региона придется точно рассчитать толщину стен и других ограждающих элементов. Но, как показывает практика, вносимые изменения не столь значительны, чтобы можно было бы говорить о больших капитальных вложениях.
Устройство каркасного дома в плане его утепления
Рассмотрим несколько часто используемых строительных материалов и проведем сравнение их теплопроводность по толщине.
Теплопроводность кирпича: таблица по разновидностям
| Фото | Вид кирпича | Теплопроводность, Вт/м*К |
|---|---|---|
| Керамический полнотелый | 0,5-0,8 | |
| Керамический щелевой | 0,34-0,43 | |
| Поризованный | 0,22 | |
| Силикатный полнотелый | 0,7-0,8 | |
| Силикатный щелевой | 0,4 | |
| Клинкерный | 0,8-0,9 |
Тепловая проводимость кирпичной кладки при разнице температуры в 10°С
Теплопроводность дерева: таблица по породам
| Порода дерева | Береза | Дуб поперек волокон | Дуб вдоль волокон | Ель | Кедр | Клен | Лиственница |
|---|---|---|---|---|---|---|---|
| Теплопроводность, Вт/м С | 0,15 | 0,2 | 0,4 | 0,11 | 0,095 | 0,19 | 0,13 |
| Порода дерева | Липа | Пихта | Пробковое дерево | Сосна поперек волокон | Сосна вдоль волокон | Тополь |
|---|---|---|---|---|---|---|
| Теплопроводность, Вт/м С | 0,15 | 0,15 | 0,045 | 0,15 | 0,4 | 0,17 |
Коэффициент теплопроводности пробкового дерева самый низкий из всех пород древесины.
Именно пробка часто используется в качестве теплоизоляционного материала при проведении утеплительных мероприятий.
У древесины теплопроводность ниже, чем у бетона и кирпича
Теплопроводность металлов: таблица
Данный показатель у металлов изменяется с изменением температуры, в которой они применяются. И здесь соотношение такое – чем выше температура, тем ниже коэффициент. В таблице покажем металлы, которые используются в строительной сфере.
| Вид металла | Сталь | Чугун | Алюминий | Медь |
|---|---|---|---|---|
| Теплопроводность, Вт/м С | 47 | 62 | 236 | 328 |
Теперь, что касается соотношения с температурой.
- У алюминия при температуре -100°С теплопроводность составляет 245 Вт/м*К. А при температуре 0°С – 238. При +100°С – 230, при +700°С – 0,9.
- У меди: при -100°С –405, при 0°С – 385, при +100°С – 380, а при +700°С – 350.
Тепловая проводимость у меди выше, чем у стали почти в семь раз
Таблица теплопроводности других материалов
В основном нас будет интересовать таблица теплопроводности изоляционных материалов.
Необходимо отметить, что если у металлов данный параметр зависит от температуры, то у утеплителей от их плотности. Поэтому в таблице будут расставлены показатели с учетом плотности материалом.
| Теплоизоляционный материал | Плотность, кг/м³ | Теплопроводность, Вт/м*К |
|---|---|---|
| Минеральная вата (базальтовая) | 50 | 0,048 |
| 100 | 0,056 | |
| 200 | 0,07 | |
| Стекловата | 155 | 0,041 |
| 200 | 0,044 | |
| Пенополистирол | 40 | 0,038 |
| 100 | 0,041 | |
| 150 | 0,05 | |
| Пенополистирол экструдированный | 33 | 0,031 |
| Пенополиуретан | 32 | 0,023 |
| 40 | 0,029 | |
| 60 | 0,035 | |
| 80 | 0,041 |
И таблица теплоизоляционных свойств строительных материалов.
Основные из них уже рассмотрены, обозначим те, которые в таблицы не вошли, и которые относятся к категории часто используемых.
| Строительный материал | Плотность, кг/м³ | Теплопроводность, Вт/м*К |
|---|---|---|
| Бетон | 2400 | 1,51 |
| Железобетон | 2500 | 1,69 |
| Керамзитобетон | 500 | 0,14 |
| Керамзитобетон | 1800 | 0,66 |
| Пенобетон | 300 | 0,08 |
| Пеностекло | 400 | 0,11 |
Коэффициент теплопроводности воздушной прослойки
Всем известно, что воздух, если его оставить внутри строительного материала или между слоями стройматериалов, это великолепный утеплитель. Почему так происходит, ведь сам воздух, как таковой, не может сдерживать тепло. Для этого надо рассмотреть саму воздушную прослойку, огражденную двумя слоями стройматериалов. Один из них соприкасается с зоной положительных температур, другой с зоной отрицательный.
Воздушная прослойка между внешней облицовкой и теплоизоляционным слоем
Тепловая энергия движется от плюса к минусу, и встречает на своем пути слой воздуха. Что происходит внутри:
- Конвекция теплого воздуха внутри прослойки.
- Тепловое излучение от материала с плюсовой температурой.
Поэтому сам тепловой поток – это сумма двух факторов с добавлением теплопроводности первого материала. Необходимо сразу отметить, что излучение занимает большую часть теплового потока. Сегодня все расчеты теплосопротивления стен и других несущих ограждающих конструкций проводят на онлайн-калькуляторах. Что касается воздушной прослойки, то такие расчеты провести сложно, поэтому берутся значения, которые в 50-х годах прошлого столетия были получены лабораторными исследованиями.
Воздушная прослойка внутри стены
В них четко оговаривается, что если разница температур стен, ограниченных воздухом, составляет 5°С, то излучение возрастает с 60% до 80%, если увеличить толщину прослойки с 10 до 200 мм.
То есть, общий объем теплового потока остается тот же, излучение вырастает, а значит, теплопроводность стены падает. И разница значительная: с 38% до 2%. Правда, возрастает конвекция с 2% до 28%. Но так как пространство замкнутое, то движение воздуха внутри него никак не действует на внешние факторы.
Расчет толщины стены по теплопроводности вручную по формулам или калькулятором
Рассчитать толщину стены не так просто. Для этого нужно сложить все коэффициенты теплопроводности материалов, которые были использованы для сооружения стены. К примеру, кирпич, штукатурный раствор снаружи, плюс наружная облицовка, если такая будет использоваться. Внутренние выравнивающие материалы, это может быть все та же штукатурка или гипсокартонные листы, другие плитные или панельные покрытия. Если есть воздушная прослойка, то учитывают и ее.
Толщина стен из разных стройматериалов с одинаковым тепловым сопротивлением
Есть так называемая удельная теплопроводность по регионам, которую берут за основу.
Так вот расчетная величина не должна быть больше удельной. В таблице ниже по городам дана удельная тепловая проводимость.
| Регион | Москва | Санкт-Петербург | Ростов | Сочи |
|---|---|---|---|---|
| Теплопроводность | 3,14 | 3,18 | 2,75 | 2,1 |
То есть, чем южнее, тем общая теплопроводность материалов должна быть меньше. Соответственно, можно уменьшать и толщину стены. Что касается онлайн-калькулятора, то предлагаем ниже посмотреть видео, на котором разбирается, как правильно пользоваться таким расчетным сервисом.
Если у вас возникли вопросы, на которые, как вам показалось, вы не нашли ответы в этой статье, пишите их в комментариях.
Наша редакция постарается на них ответить.
Коэффициенты теплопроводности строительных материалов — Дачный журнал
Теплопроводность строительных материалов, их плотность и теплоемкость
Приведена обширная таблица теплопроводности строительных материалов, а также плотность и удельная теплоемкость материалов в сухом состоянии при атмосферном давлении и температуре 20…50°С (если не указана другая температура). Значения даны для более 400 материалов!
Следует обратить внимание на величину теплопроводности строительных материалов в таблице, поскольку эта характеристика, наряду с их плотностью, является наиболее важной. Особенно теплопроводность важна для строительных материалов, применяемых в качестве теплоизоляции при утеплении строительных конструкций.
Теплопроводность строительных материалов существенно зависит от их пористости и плотности. Чем меньше плотность, тем ниже теплопроводность материала, поэтому низкая теплопроводность свойственна пористым и легким материалам (значения плотности строительных материалов, металлов и сплавов, продуктов и других веществ вы также сможете найти в подробной таблице плотности).
Например, в нашей таблице теплопроводности материалов и утеплителей можно выделить следующие строительные материалы с низким показателем коэффициента теплопроводности — это аэрогель (от 0,014 Вт/(м·град)), стекловата, пенополистирол пеноплэкс и вспененный каучук (от 0,03 Вт/(м·град)), теплоизоляция МБОР (от 0,038 Вт/(м·град)), газобетон и пенобетон (от 0,08 Вт/(м·град)).
Просто о сложном: сравнительная таблица теплопроводности строительных материалов
Комфорт и уют в доме во многом зависят от грамотно рассчитанного теплообмена ещё на этапе строительства. Для этого учитывают всё. Чтобы расчёты были более точными, а сделать их было гораздо легче, применяется таблица теплопроводности строительных материалов. С её помощью можно рассчитать, насколько тепло будет в доме и насколько экономнее получится его отопление. Рассмотрим основные параметры теплопроводности различных материалов и методику вычисления подобной величины общей конструкции.
Что такое теплопроводность, термическое сопротивление и коэффициент теплопроводности
Что же за «зверь» − теплопроводность? Если «расшифровать» сложное физическое определение, то можно получить следующее пояснение. Теплопроводность – свойство, которым обладают все строительные материалы. Характеризуется способностью отдавать тепло от нагретого предмета более холодному. Чем быстрее и интенсивнее это происходит, тем холоднее сам материал, соответственно, и строение из него нуждается в более интенсивном обогреве. Что не очень эффективно, особенно в денежном плане.
Для оценки величины теплопроводности используются специальные коэффициенты, которые уже заранее выявлены. ГОСТ 30290-94 контролирует методы определения подобной характеристики. Последняя нераздельно связана с термическим сопротивлением, которое означает сопротивление слоя теплоотдачи. В случае многослойного материала оно рассчитывается как сумма термических сопротивлений отдельных слоёв. Сама же эта величина равна отношению толщины слоя к коэффициенту.
Внимание! Для упрощённого расчёта теплосопротивления стены в сети можно найти калькулятор с доступным и понятным интерфейсом.
Как видите, в определении теплопроводности нет ничего сложного и непонятного. Зная все подобные характеристики будущих материалов, можно составить «энергоэффективный бутерброд», но только при условии учёта всех обстоятельств, которые будут влиять на теплоэффективность каждого слоя конструкции.
Основные параметры, от которых зависит величина теплопроводности
Не все строительные материалы одинаково теплоэффективны. На это влияют следующие факторы:
- Пористая структура материала говорит о том, что подобное строение неоднородно, а поры наполнены воздухом. Тепловые массы, перемещаясь через такие прослойки, теряют минимум своей энергии. Поэтому пенобетон именно с замкнутыми порами считается хорошим теплоизолятором.
Замкнутые поры пенобетона наполнены воздухом, который по праву считается лучшим теплоизолятором
Повышенная плотность материала гарантирует более тесную взаимосвязь частиц друг с другом.
Соответственно, уравновешивание температурного баланса происходит намного быстрее. По этой причине плотный материал обладает большим коэффициентом проводимости тепла. Поэтому железобетон считается одним из самых «холодных» материалов.
Высокая плотность даёт хорошую прочность железобетону, но также и «обделяет» его теплоэффективностью
«Холодно, холодно и сыро. Не пойму, что же в нас остыло. » Даже Согдиана знает о том, что сырость и холод − вечные соседи, от которых не спрячешься в тёплом свитере
Зная, что такое проводимость тепла, и какие факторы на неё влияют, можно смело пробовать применять свои знания для расчётов будущих строительных конструкций. Для этого нужно знать коэффициенты используемых материалов.
Коэффициент теплопроводности строительных материалов – таблицы
Теплоизоляционные свойства материалов прекрасно демонстрируют сводные таблицы, в которых представлены нормативные показатели.
Таблица коэффициентов теплоотдачи материалов. Часть 1
Таблица теплопроводности изоляционных материалов для бетонных полов
Но эти таблицы теплопроводности материалов и утеплителей учли далеко не все значения. Рассмотрим подробнее теплоотдачу основных строительных материалов.
Таблица теплопроводности кирпича
Как уже успели убедиться, кирпич – не самый «тёплый» стеновой материал. По теплоэффективности он отстаёт от дерева, пенобетона и керамзита. Но при грамотном утеплении из него получаются уютные и тёплые дома.
Сравнение теплопроводности строительных материалов по толщине (кирпич и пенобетон)
Но не все виды кирпича имеют одинаковый коэффициент теплопроводности (λ). Например, у клинкерного он самый большой – 0,4−0,9 Вт/(м·К). Поэтому строить из него что-то нецелесообразно.
Чаще всего его применяют при дорожных работах и укладке пола в технических зданиях. Самый малый коэффициент подобной характеристики у так называемой теплокерамики – всего 0,11 Вт/(м·К). Но подобное изделие также отличается и большой хрупкостью, что максимально минимизирует область его применения.
Неплохое соответствие прочности и теплоэффективности у силикатных кирпичей. Но кладка из них также нуждается в дополнительном утеплении, и в зависимости от региона строительства, возможно, ещё и в утолщении стены. Ниже приведена сравнительная таблица значений проводимости тепла различными видами кирпичей.
Теплопроводность разных видов кирпичей
Таблица теплопроводности металлов
Теплопроводность металлов не менее важна в строительстве, например, при выборе радиаторов отопления. Также без подобных значений не обойтись при сварке ответственных конструкций, производстве полупроводников и различных изоляторов. Ниже приведены сравнительные таблицы проводимости тепла различных металлов.
Теплоэффективность разных видов металлов. Часть 3
Таблица теплопроводности дерева
Древесина в строительстве негласно относится к элитным материалам для возведения домов. И это не только из-за экологичности и высокой стоимости. Самые низкие коэффициенты теплопроводности у дерева. При этом подобные значения напрямую зависят от породы. Самый низкий коэффициент среди строительных пород имеет кедр (всего 0,095 Вт/(м∙С)) и пробка. Из последней строить дома очень дорого и проблемно. Но зато пробка для покрытия пола ценится из-за своей невысокой проводимости тепла и хороших звукоизоляционных качеств. Ниже представлены таблицы теплопроводности и прочности различных пород.
Прочность разных пород древесины
Таблица проводимости тепла бетонов
Бетон в различных его вариациях является самым распространённым строительным материалом на сегодня, хотя и не является самым «тёплым». В строительстве различают конструкционные и теплоизоляционные бетоны. Из первых возводят фундаменты и ответственные узлы зданий с последующим утеплением, из вторых строят стены.
В зависимости от региона к таковым либо применяется дополнительное утепление, либо нет.
Сравнительная таблица теплоизоляционных бетонов и теплопроводности различных стеновых материалов
Наиболее «тёплым» и прочным считает газобетон. Хотя это не совсем так. Если сравнивать структуру пеноблоков и газобетона, можно увидеть существенные различия. У первых поры замкнутые, когда же у газосиликатов большинство их открытые, как бы «рваные». Именно поэтому в ветреную погоду неутеплённый дом из газоблоков очень холодный. Эта же причина делает подобный лёгкий бетон более подверженным к воздействиям влаги.
Какой коэффициент теплопроводности у воздушной прослойки
В строительстве зачастую используют воздушные ветронепродуваемые прослойки, которые только увеличивают проводимость тепла всего здания. Также подобные продухи необходимы для вывода влаги наружу. Особое внимание проектированию подобных прослоек уделяется в пенобетонных зданиях различного назначения. У подобных прослоек также есть свой коэффициент теплопроводности в зависимости от их толщины.
Таблица проводимости тепла воздушных прослоек
Калькулятор расчёта толщины стены по теплопроводности
На практике подобные данные применяют часто и не только профессиональными проектировщиками. Нет ни одного закона, запрещающего самостоятельно создавать проект своего будущего дома. Главное, чтобы тот соответствовал всем нормативам и СНиПам. Чтобы рассчитать теплопроводность стены, можно воспользоваться специальным калькулятором. Подобное «чудо прогресса» можно как установить к себе на компьютер в качестве приложения, так и воспользоваться услугой онлайн.
Окно расчёта калькулятора
В нём нет премудростей. Просто выбираешь необходимые данные и получаешь готовый результат.
Расчёт толщины стен с использованием глиняного обыкновенного кирпича на цементно-песчаном растворе
Существуют и более сложные калькуляторы расчёта, где учитываются все слои стен, пример подобного расчётного «механизма» показан на фото ниже.
Расчёт проводимости тепла всех прослоек стен
Конечно, теплоэффективность будущего здания – это вопрос, требующий пристального внимания.
Ведь от него зависит, насколько тепло будет в доме и насколько экономно будет его отапливать. Для каждого климатического региона существуют свои нормы коэффициентов теплопроводности ограждающих конструкций. Можно рассчитать самостоятельно теплоэффективность, но если возникают проблемы, лучше обратиться за помощью к специалистам.
Теплопроводность строительных материалов: таблица коэффициентов
Время чтения: 6 минут Нет времени?
Отправим материал вам на e-mail
Любые строительные работы начинаются с создания проекта. При этом планируется как расположение комнат в здании, так и рассчитываются главные теплотехнические показатели. От данных значений зависит, насколько будущая постройка будет теплой, долговечной и экономичной. Позволит определить теплопроводность строительных материалов – таблица, в которой отображены основные коэффициенты. Правильные расчеты являются гарантией удачного строительства и создания благоприятного микроклимата в помещении.
Чтобы дом был теплым без утеплителя потребуется определенная толщина стен, которая отличается в зависимости от вида материала
Теплопроводность: понятие и теория
Теплопроводность представляет собой процесс перемещения тепловой энергии от прогретых частей к холодным.
Обменные процессы происходят до полного равновесия температурного значения.
Комфортный микроклимат в доме зависит от качественной теплоизоляции всех поверхностей
Процесс теплопередачи характеризуется промежутком времени, в течение которого выравниваются температурные значения. Чем больше времени проходит, тем ниже теплопроводность строительных материалов, свойства которых отображает таблица. Для определения данного показателя применяется такое понятие как коэффициент теплопроводности. Он определяет, какое количество тепловой энергии проходит через единицу площади определенной поверхности. Чем данный показатель больше, тем с большей скоростью будет остывать здание. Таблица теплопроводности нужна при проектировании защиты постройки от теплопотерь. При этом можно снизить эксплуатационный бюджет.
Потери тепла на разных участках постройки будут отличаться
Полезный совет! При постройке домов стоит использовать сырье с минимальной проводимостью тепла.
От чего зависит величина теплопроводности?
От множества факторов зависит значение теплопроводности строительных материалов. Таблица коэффициентов, представленная в нашем обзоре, это наглядно показывает.
Наглядный пример демонстрирует свойство теплопроводности
На данный показатель оказывают влияние следующие параметры:
- более высокая плотность способствует прочному взаимодействию частиц друг с другом. При этом уравновешивание температур производится более быстро. Чем плотнее материал, тем лучше пропускается тепло;
- пористость сырья свидетельствует о его неоднородности. При перемещении тепловой энергии через подобную структуру охлаждение будет небольшим. Внутри гранул находится только воздух, который обладает минимальным количеством коэффициента. Если поры маленькие, то при этом затрудняется передача тепла. Но повышается значение теплопроводность;
- при повышенной влажности и промокании стен здания показатель прохождения тепла будет выше.

Чем ниже показатель теплопроводности строительного сырья, тем уютнее и теплее в помещении
Использование значений теплопроводности на практике
Материалы, используемые в строительстве, могут быть конструкционными и теплоизолирующими.
Существует огромное количество материалов с теплоизолирующими свойствами
Самое большое значение теплопроводности у конструкционных материалов, которые используются при возведении перекрытий, стен и потолков. Если не использовать сырье с теплоизолирующими свойствами, то для сохранения тепла потребуется монтаж толстого слоя утеплителя для возведения стен.
Часто для утепления строений используются более простые материалы
Поэтому при возведении постройки стоит использовать дополнительные материалы. При этом значение имеет теплопроводность строительных материалов, таблица показывает все значения.
В некоторых случаях более эффективным считается утепление снаружи
Полезная информация! Для построек из древесины и пенобетона не обязательно использовать дополнительное утепление.
Даже применяя низкопроводной материал, толщина сооружения не должна быть менее 50 см.
Особенности теплопроводности готового строения
Планируя проект будущего дома, нужно обязательно учесть возможные потери тепловой энергии. Большая часть тепла уходит через двери, окна, стены, крышу и полы.
В многоквартирных домах потери тепла будут отличаться по сравнению с частным строением
Если не выполнять расчеты по теплосбережению дома, то в помещении будет прохладно. Рекомендуется постройки из кирпича, бетона и камня дополнительно утеплять.
Утепление построек из бетона или камня повышает комфортные условия внутри здания
Полезный совет! Перед тем как утеплять жилище, необходимо продумать качественную гидроизоляцию. При этом даже повышенная влажность не повлияет на особенности теплоизоляции в помещении.
Разновидности утепления конструкций
Теплое здание получится при оптимальном сочетании конструкции из прочных материалов и качественного теплоизолирующего слоя.
К подобным сооружениям можно отнести следующие:
- при возведении каркасной постройки, используемая древесина обеспечивает жесткость здания. Утеплитель прокладывается между стойками. В некоторых случаях применяется утепление снаружи здания;
Монтажные работы по утеплению каркасного сооружения требуют использования дополнительных конструктивных элементов
- здание из стандартных материалов: шлакоблоков или кирпича. При этом утепление часто проводится по наружной стороне.
Особенности монтажа теплоизолирующего материала с внутренней стороны
Как определить коэффициенты теплопроводности строительных материалов: таблица
Помогает определить коэффициент теплопроводности строительных материалов – таблица. В ней собраны все значения самых распространенных материалов. Используя подобные данные, можно рассчитать толщину стен и используемый утеплитель. Таблица значений теплопроводности:
Необходимые коэффициенты для самых различных материалов
Чтобы определить величину теплопроводности используются специальные ГОСТы.
Значение данного показателя отличается в зависимости от вида бетона. Если материал имеет показатель 1,75, то пористый состав обладает значением 1,4. Если раствор выполнен с применением каменного щебня, то его значение 1,3.
Технические характеристики утеплителей для бетонных полов
О значении теплопроводности можно судить по сравнительным характеристикам
Полезные рекомендации
Потери через потолочные конструкции значительны для проживающих на последних этажах. К слабым участкам относится пространство между перекрытиями и стеной. Подобные участки считаются мостиками холода. Если над квартирой присутствует технический этаж, то при этом потери тепловой энергии меньше.
Выполняя утепление потолка на веранде или террасе, можно использовать более легкие стройматериалы
Утепление потолочного перекрытия на верхнем этаже производится снаружи. Также потолок можно утеплить внутри квартиры. Для этого применяется пенополистирол или теплоизоляционные плиты.
При утеплении потолка, стоит подобрать материал для пароизоляции и для гидроизоляции
Прежде чем утеплять любые поверхности, стоит узнать теплопроводность строительных материалов, таблица СНиПа поможет в этом. Утеплять напольное покрытие не так сложно как другие поверхности. В качестве утепляющих материалов применяются такие материалы как керамзит, стекловата ил пенополистирол.
Создание теплого пола требует особых знаний. Важно учитывать высоту и толщину материалов
Чтобы качественно утеплить квартиру на последних этажах, можно полноценно использовать возможности центрального отопления. При этом важно повысить отдачу тепло от радиаторов. Для этого стоит воспользоваться следующими советами:
- если какая-то часть батарей холодная, то требуется спустить воздух. При этом открывается специальный клапан;
- чтобы тепло проникало внутрь дома, на не обогревало стены, рекомендуется установить защитный экран с покрытием из фольги;
- для свободной циркуляции подогретого воздуха не стоит радиаторы загромождать мебелью или шторами;
- если снять декоративный экран, то теплоотдача увеличиться на 25 %.

Выбор качественных радиаторов позволяет лучше сберечь тепло в помещении
Тепловые потери через входные двери могут составлять до 10 %. При этом значительное количество тепла тратится на воздушные массы, которые поступают снаружи. Для устранения сквозняков надо переустановить изношенные уплотнители и щели, которые могут появиться между стеной и коробом. В данном случае дверное полотно можно обить, а щели заполнить с помощью монтажной пены.
Выбор утеплителя зависит от материала самой двери
Одним из основных источников теплопотерь являются окна. Если рамы старые, то появляются сквозняки. Через оконные проемы теряется около 35% тепловой энергии. Для качественного утепления применяются двухкамерные стеклопакеты. К другим способам относится утепление щелей монтажной пеной, оклейка мест стыков с рамой специальным уплотнителем и нанесение силиконового герметика. Правильное и комплексное утепление является гарантией комфортного и теплого дома, в котором не появиться плесень, сквозняки и холодный пол.
Экономьте время: отборные статьи каждую неделю по почте
Таблица теплопроводности строительных материалов: коэффициенты
Любое строительство независимо от его размера всегда начинается с разработки проекта. Его цель – спроектировать не только внешний вид будущего строения, еще и просчитать основные теплотехнические характеристики. Ведь основной задачей строительства считается сооружение прочных, долговечных зданий, способных поддерживать здоровый и комфортный микроклимат, без лишних затрат на отопление. Несомненную помощь при выборе сырья, используемого для возведения постройки, окажет таблица теплопроводности строительных материалов: коэффициенты.
Тепло в доме напярямую зависит от коэффициента теплопроводности строительных материалов
Что такое теплопроводность?
Теплопроводность – это процесс передачи энергии тепла от нагретых частей помещения к менее теплым. Такой обмен энергией будет происходить, пока температура не уравновесится. Применяя это правило к ограждающим системам дома, можно понять, что процесс теплопередачи определяется промежутком времени, за который происходит выравнивание температуры в комнатах с окружающей средой.
Чем это время больше, тем теплопроводность материала, применяемого при строительстве, ниже.
Отсутствие теплоизоляции дома скажется на температуре воздуха внутри помещения
Для характеристики проводимости тепла материалами используют такое понятие, как коэффициент теплопроводности. Он показывает, какое количество тепла за одну единицу временного промежутка пройдет через одну единицу площади поверхности. Чем выше подобный показатель, тем сильнее теплообмен, значит, постройка будет остывать значительно быстрее. То есть при сооружении зданий, домов и прочих помещений необходимо использовать материалы, проводимость тепла которых минимальна.
Сравнительные характеристики теплопроводности и термического сопротивления стен, возведенных из кирпича и газобетонных блоков
Что влияет на величину теплопроводности?
Тепловая проводимость любого материала зависит от множества параметров:
- Пористая структура. Присутствие пор предполагает неоднородность сырья. При прохождении тепла через подобные структуры, где большая часть объема занята порами, охлаждение будет минимальным.

- Плотность. Высокая плотность способствует более тесному взаимодействию частиц друг с другом. В результате теплообмен и последующее полное уравновешивание температур происходит быстрее.
- Влажность. При высокой влажности окружающего воздуха или намокании стен постройки, сухой воздух вытесняется капельками жидкости из пор. Теплопроводность в подобном случае значительно увеличивается.
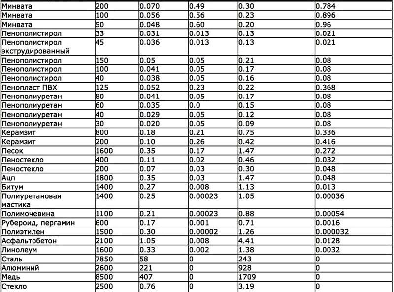
Теплопроводность, плотность и водопоглощение некоторых строительных материалов
Применение показателя теплопроводности на практике
В строительстве все материалы условно подразделяются на теплоизоляционные и конструкционные. Конструкционное сырье отличается наибольшими показателями теплопроводности, но именно его применяют для постройки стен, перекрытий, прочих ограждений. Согласно таблице теплопроводности строительных материалов, при возведении стен из железобетона, для низкого теплообмена с окружающей средой толщина конструкции должна быть около 6 метров. В таком случае строение получится огромным, громоздким и потребует немалых затрат.
Наглядный пример — при какой толщине различных материалов их коэффициент теплопроводности будет одинаковым
Поэтому при возведении постройки следует отдельное внимание уделять дополнительным теплоизолирующим материалам. Слой теплоизоляции может не понадобиться только для построек из дерева или пенобетона, но даже при использовании подобного низкопроводного сырья толщина конструкции должна быть не менее 50 см.
Нужно знать! У теплоизоляционных материалов значения показателя теплопроводности минимальны.
Теплопроводность готового здания. Варианты утепления конструкций
При разработке проекта постройки необходимо учесть все возможные варианты и пути потери тепла. Большое его количество может уходить через:
- стены – 30%;
- крышу – 30%;
- двери и окна – 20%;
- полы – 10%.
Теплопотери неутепленного частного дома
При неверном расчете теплопроводности на этапе проектирования, жильцам остается довольствоваться только 10% тепла, получаемого от энергоносителей.
Именно поэтому дома, возведенные из стандартного сырья: кирпича, бетона, камня рекомендуют дополнительно утеплять. Идеальная постройка согласно таблице теплопроводности строительных материалов должна быть выполнена полностью из теплоизолирующих элементов. Однако малая прочность и минимальная устойчивость к нагрузкам ограничивает возможности их применения.
Нужно знать! При обустройстве правильной гидроизоляции любого утеплителя высокая влажность не повлияет на качество теплоизоляции и сопротивление постройки теплообмену будет значительно выше.
Сравнительный график коэффициентов теплопроводности некоторых строительных материалов и утеплителей
Самым распространенным вариантом сочетание несущей конструкции из высокопрочных материалов с дополнительным слоем теплоизоляции. Сюда можно отнести:
- Каркасный дом. При его постройке каркасом из древесины обеспечивается жесткость всей конструкции, а укладка утеплителя производится в пространство между стойками.
При незначительном уменьшении теплообмена в некоторых случая может потребоваться утепление еще и снаружи основного каркаса. - Дом из стандартных материалов. При выполнении стен из кирпича, шлакоблоков, утепление должно проводиться по наружной поверхности конструкции.
Необходимая тепло- и гидроизоляция для сохранения тепла в частном доме
Таблица теплопроводности строительных материалов: коэффициенты
В этой таблице собраны показатели теплопроводности самых распространенных строительных материалов. Пользуясь подобными справочниками, можно без проблем рассчитать необходимую толщину стен и применяемого утеплителя.
Таблица коэффициента теплопроводности строительных материалов:
Таблица теплопроводности строительных материалов: коэффициенты
Теплопроводность строительных материалов (видео)
Таблица теплопроводности строительных материалов
Таблица теплопроводности строительных материалов необходима при проектировании защиты здания от теплопотерь согласно нормативам СНиП от 2003 года под номером 23-02.
Этими мероприятиями обеспечивается снижение эксплуатационного бюджета, поддержание круглогодичного комфортного микроклимата внутри помещений. Для удобства пользователей все данные сведены в таблицы, даны параметры для нормальной эксплуатации, условий повышенной влажности, так как, некоторые материалы при увеличении этого параметра резко снижают свойства.
Теплопотери сквозь конструкционные материалы
Теплопроводность является одним из способов потерь тепла жилыми помещениями. Эта характеристика выражается количеством тепла, способным проникнуть сквозь единицу площади материала (1 м2) за секунду при стандартной толщине слоя (1 м). Физики объясняют выравнивание температур различных тел, объектов путем теплопроводности природным стремлением к термодинамическому равновесию всех материальных веществ.
Таким образом, каждый индивидуальный застройщик, отапливая помещение в зимний период, получает потери тепловой энергии, уходящей из жилища сквозь наружные стены, полы, окна, кровлю.
Чтобы сократить расход энергоносителя для обогрева помещений, сохранив внутри них комфортный для эксплуатации микроклимат, необходимо рассчитать толщину всех ограждающих конструкций на этапе проектирования. Это позволит сократить бюджет строительства.
Таблица теплопроводности строительных материалов позволяет использовать точные коэффициенты для стеновых конструкционных материалов. Нормативы СНиП регламентируют сопротивление фасадов коттеджа передаче тепла холодному воздуху улицы в пределах 3,2 единиц. Перемножив эти значения, можно получить необходимую толщину стены, чтобы определиться с количеством материала.
Например, при выборе ячеистого бетона с коэффициентом 0,12 единиц достаточно кладки в один блок длиной 0,4 м. используя более дешевые блоки из этого же материала с коэффициентом 0,16 единиц, потребуется сделать стену толще – 0,52 м. Коэффициент теплопроводности сосны, ели составляет 0,18 единиц. Поэтому, для соблюдения условия сопротивления теплопередаче 3,2, потребуется 57 см брус, которого не существует в природе.
При выборе кирпичной кладки с коэффициентом 0,81 единица толщина наружных стен грозит увеличением до 2,6 м, железобетонных конструкций – до 6,5 м.
На практике стены изготавливают многослойными, закладывая внутрь слой утеплителя или обшивая теплоизолятором наружную поверхность. У этих материалов коэффициент теплопроводности гораздо ниже, что позволяет уменьшить толщину многократно. Конструкционный материал обеспечивает прочность здания, теплоизолятор снижает теплопотери до приемлемого уровня. Современные облицовочные материалы, используемые на фасадах, внутренних стенах, так же обладают сопротивлением теплопотерям. Поэтому, в расчетах учитываются все слои будущих стен.
Вышеуказанные расчеты будут неточными если не учесть наличие в каждой стене коттеджа светопрозрачных конструкций. Таблица теплопроводности строительных материалов в нормативах СНиП обеспечивает легкий доступ к коэффициентам теплопроводности данных материалов.
Пример расчета толщины стены по теплопроводности
При выборе типового или индивидуального проекта застройщик получает комплект документации, необходимый для возведения стен.
Силовые конструкции в обязательном порядке просчитаны на прочность с учетом ветровых, снеговых, эксплуатационных, конструкционных нагрузок. Толщина стен учитывает характеристики материала каждого слоя, поэтому, теплопотери гарантированно будут ниже допустимых норм СНиП. В этом случае заказчик может предъявить претензии организации, занимавшейся проектированием, при отсутствии необходимого эффекта в процессе эксплуатации жилища.
Однако, при строительстве дачи, садового домика многие владельцы предпочитают экономить на приобретении проектной документации. В этом случае расчеты толщины стен можно произвести самостоятельно. Специалисты не рекомендуют пользоваться сервисами на сайтах компаний, реализующих конструкционные материалы, утеплители. Многие из них завышают в калькуляторах значения коэффициентов теплопроводности стандартных материалов для представления собственной продукции в выгодном свете. Подобнее ошибки в расчетах чреваты для застройщика снижением комфортности внутренних помещений в холодный период.
Самостоятельный расчет не представляет сложностей, используется ограниченное количество формул, нормативных значений:
- теплосопротивление стены – 3,5 либо больше этого числа (согласно СНиП), является суммой теплосопротивлений всех слоев, из которых состоит несущая стена
- коэффициент теплопроводности строительных материалов – каждый производитель конструкционного материала, светопрозрачных конструкций, утеплителя указывает его в обязательном порядке, однако, лучше дополнительно свериться с таблицей в нормативах СНиП
- теплосопротивление отдельного слоя стены – вычисляется путем умножения толщины слоя (м) на коэффициент теплопроводности материала
Например, чтобы привести толщину кирпичной стены в соответствие с нормативным теплосопротивлением, потребуется умножить коэффициент для этого материала, взятый из таблицы на нормативное теплосопротивление:
0,76 х 3,5 = 2,66 м
Подобная крепость излишне затратна для любого застройщика, поэтому, следует снизить толщину кладки до приемлемых 38 см, добавив утеплитель:
- облицовка в полкирпича 12,5 см
- внутренняя стена в кирпич 25 см
Теплосопротивление кирпичной кладки в этом случае составит 0,38/0,76 = 0,5 единиц.
Вычитая из нормативного параметра полученный результат, получаем необходимое теплосопротивление слоя утеплителя:
3,5 – 0,5 = 3 единицы
При выборе базальтовой ваты с коэффициентом 0,039 единиц, получаем слой толщиной:
3 х 0,039 = 11,7 см
Отдав предпочтение экструдированному пенополистиролу с коэффициентом 0,037 единиц, снижаем слой утеплителя до:
3 х 0,037 = 11,1 см
На практике, можно выбрать 12 см для гарантированного запаса либо обойтись 10 см, учитывая наружные, внутренние облицовки стен, так же обладающие теплосопротивлением. Необходимый запас можно добрать без использования конструкционных материалов либо утеплителей, изменив конструкцию кладки. Замкнутые пространства воздушных прослоек внутри некоторых типов облегченных кладок так же обладают теплосопротивлением.
Их теплопроводность можно узнать из нижеприведенной таблицы, находящейся в СНиП.
Например, 10 см прослойка замкнутого контура обеспечивает теплоспопротивление 0,18 либо 0,15 единиц при отрицательных, положительных температурах, соответственно.
Сантиметровый воздушный зазор добавляет несущей стене 0,15 или 0,13 единиц теплосопротивления (зимой, летом, соответственно).
Что такое «точка росы»
На завершающем этапе вычислений потребуется правильно расположить утеплитель, коробки оконных блоков в толще стен. Это необходимо для смещения точки росы наружу, в противном случае избавиться от влаги на стеклах, внутренних стенах с началом отопительного сезона не получится.
Точкой росы называют температурный барьер, при достижении которого из теплого воздуха в эксплуатируемом помещении, имеющим высокую относительную влажность, начинает конденсироваться вода. Для увеличения ресурса силовых конструкций точку росы необходимо вывести за наружную поверхность стены, чтобы кирпич. Древесина, бетон не разрушался под действием влаги.
Кроме того, смещение точки росы внутрь слоя утеплителя приведет к увеличению расхода энергоносителя для обогрева жилища уже на третий сезон эксплуатации. Тплоизолятор намокнет, снизится его теплосопротивление.
Неправильная установка оконных блоков приводит к аналогичной ситуации – откосы будут стабильно влажными всю зиму. Поэтому, нормативы СНиП рекомендуют смещение внутренней плоскости оконного блока:
- заподлицо с внутренней стеной в срубах, кирпичных коттеджах с кладкой в 1,5 кирпича
- отступ от наружной плоскости стены от 12,5 см при значительной толщине кладки
Выбор конструкционных, облицовочных, теплоизоляционных материалов должен осуществляться комплексно. Паропропускная способность отдельных слоев стены должна снижаться изнутри наружу. Принцип этого метода становится понятнее на простом примере:
- если облицевать фасады коттеджа, выложенные из газобетонных блоков, керамическим кирпичом, клинкером без вентиляционного зазора
- влажный воздух из помещений свободно преодолеет материал стены, будет остановлен облицовкой
- блоки начнут разрушаться в агрессивной среде, снизится ресурс здания
Кроме того, замерзающая нутрии блоков вода будет расширяться, дополнительно разрушая кладку, ослабляя силовой каркас коттеджа.
Проблема решается заменой керамики на сайдинг, деревянные облицовки либо созданием вентиляционного зазора, через который влага сможет отводиться воздушными массами.
Присоединяйтесь к обсуждению!
Нам было бы интересно узнать вашу точку зрения, оставьте свое мнение в комментариях 😼
Тепловые свойства строительных материалов
APEC — это ведущая конференция для практикующих профессионалов в области силовой электроники, на которой рассматривается широкий круг тем, связанных с использованием, проектированием, производством и маркетингом всех видов оборудования силовой электроники. Присоединяйтесь к нам 9-12 июня 2021 года в Фениксе, штат Аризона.
Конференция по прикладной силовой электронике (APEC) фокусируется на практических и прикладных аспектах бизнеса силовой электроники. Это не просто конференция дизайнеров; APEC представляет интерес для всех, кто занимается силовой электроникой:
- Производители оборудования, использующие блоки питания и преобразователи постоянного тока в свое оборудование
- Разработчики источников питания, преобразователей постоянного тока в постоянный, моторных приводов, источников бесперебойного питания, инверторов, и любые другие силовые электронные схемы, оборудование и системы
- Производители и поставщики компонентов и узлов, используемых в силовой электронике
- Инженеры по производству, качеству и тестированию, связанные с оборудованием силовой электроники
- Маркетинг, продажи и все, кто участвует в бизнесе силовой электроники
- Инженеры по соответствию проверяют и аттестуют силовое электронное оборудование или оборудование, в котором используется силовая электроника
ОБРАЩЕНИЕ С ДОКУМЕНТАМИ ТЕХНИЧЕСКОЙ СЕССИИ
APEC 2021 продолжает давнюю традицию решения вопросов, представляющих немедленный и долгосрочный интерес энергетик-электронщик.
Превосходный технический контент предоставляется по одной из самых низких регистрационных затрат на любой конференции IEEE.
СКАЧАТЬ ИНСТРУКЦИИ
ОТПРАВИТЬ ДОКУМЕНТ
ПОДПИСАТЬСЯ НА РЕЦЕНЗЕНТ
03
0
8 июня 2020 г .: открывается сайт для подачи дайджестов
28 августа 2020 г .: Крайний срок подачи дайджестов
28 октября 2020 г .: Уведомление о принятии или отклонении статьи
20 ноября 2020 г .: Срок сдачи заключительных работ и регистрации авторов
Эта база данных представляет собой небольшую коллекцию термических свойств материалов, используемых для создания обычных предметов, используемых в домашних условиях и офисах. База данных разбита на четыре категории в соответствии с типами материалов: (1) Металлы, (2) Пластмассы, (3) Древесина и (4) Разное. Для каждой записи тепловые свойства при комнатной температуре и / или температуре воспламенения были собраны из различных источников.Некоторые материалы могут иметь несколько записей из-за различий в оценках тепловых свойств от одного источника к другому. Различия в разных источниках показывают сложность определения точных значений k, ρ, Cp, Lg и Tig. Для сложных материалов эти свойства следует рассматривать как эффективные. Кроме того, эти свойства могут значительно изменяться с температурой. Методы оценки тепловых свойств Метод Хопкинса и Квинтьера где k — теплопроводность [Вт / м-К] Глубина нагретого слоя внутри материала известна как глубина проникновения δ. Температура воспламенения связана с критическим внешним тепловым потоком, необходимым для возникновения воспламенения; этот критический тепловой поток равен: Рисунок 1 — Корень, обратный квадратному корню из времени воспламенения в зависимости от теплового потока излучаемой панели (2) Точка, в которой наиболее подходящая прямая пересекает ось x, дает оценку критического теплового потока материала.С этой оценкой критического теплового потока температура воспламенения Tig может быть рассчитана с использованием уравнения 6. Наконец, используя температуру воспламенения и наклон линейной аппроксимации на рисунке 1, тепловую инерцию kρc можно рассчитать с помощью уравнения 7. Рисунок 2 — Коэффициент потери массы топлива в зависимости от теплового потока излучающей панели (2) В устойчивом состоянии правая часть уравнения 9 равна нулю, и можно записать:
| ||||||||||||
Страница не найдена | MIT
Перейти к содержанию ↓
- Образование
- Исследование
- Инновации
- Прием + помощь
- Студенческая жизнь
- Новости
- Выпускников
- О MIT
- Подробнее ↓
- Прием + помощь
- Студенческая жизнь
- Новости
- Выпускников
- О MIT
Меню ↓
Поиск
Меню
Ой, похоже, мы не смогли найти то, что вы искали!
Попробуйте поискать что-нибудь еще!
Что вы ищете?
Увидеть больше результатов
Предложения или отзывы?
Институт натурального камня — Какой натуральный камень лучше всего подходит для обогреваемых поверхностей
Тепло всегда течет из более теплых мест в более холодные.
Передача тепловой энергии через твердый материал называется теплопроводностью. Есть определенные области применения, в которых теплопередача или теплопроводность природного камня становится важным фактором при выборе наилучшего материала и дизайна. Каменное обрамление у камина или варочной панели между источником тепла и легковоспламеняющимся материалом является примером, в котором перед выбором необходимо тщательно определить проводимость камня. Еще одно распространенное применение — это система обогреваемого покрытия, где теплопроводность камня становится фактором, определяющим системные требования для эффективного таяния снега и льда с поверхности дорожного покрытия.В этом бюллетене представлены измеренные значения теплопроводности (значение k) и термического сопротивления (значение R) для наиболее распространенных типов природного камня, используемых в строительстве из обычных типов камня.
| Тип материала | k-значение (Теплопроводность) (Вт / мК) | R-значение Эквивалент (R) 3 (Час • фут 2 • ºF / британских тепловых единиц) |
| Гранит (высокое качество) 1 | 1. 73 | 0,083 |
| Гранит (низкая стоимость) 1 | 3,98 | 0,038 |
| Гранит (Barre) 2 | 2,79 | 0,052 |
| Известняк (высокая ценность) 1 | 1,26 | 0,114 |
| Известняк (низкая стоимость) 1 | 1.33 | 0,108 |
| Известняк (Салем) 2 | 2,15 | 0,067 |
| Мрамор (высокая стоимость) 1 | 2,07 | 0,070 |
| Мрамор (низкая стоимость) 1 | 2,94 | 0,049 |
| Мрамор (Halston) 1 | 2. 80 | 0,051 |
| Песчаник (высокая ценность) 1 | 1,83 | 0,079 |
| Песчаник (низкая стоимость — Береа) 2 | 2,90 | 0,050 |
| Кварцит (Sioux) 1 | 5,38 | 0,027 |
1 .. Холман, Дж. П. Теплопередача.7-е изд., Нью-Йорк: McGraw-Hill, 1900. (Приложение A.3)
2. Введение в теплопередачу. 2-е изд. Нью-Йорк: John Wiley & Sons, Inc., 1990. (Приложение A)
3. Термическое сопротивление или R-значение зависит от толщины материала. Эти значения были рассчитаны для образца размерного камня толщиной 1 дюйм.
В центральном столбце приведенной выше таблицы приведены значения теплопроводности природных камней. Значение k является мерой скорости теплопередачи через твердый материал.Если материал имеет значение k, равное 1,00, это означает, что 1 квадратный метр материала толщиной 1 метр будет передавать тепло со скоростью 1 ватт на каждый градус Кельвина разницы температур между противоположными поверхностями.
Высокое значение указывает на то, что материал более проводящий, а низкое значение означает, что он более изолирующий. В правом столбце приведенной выше таблицы указан эквивалент R-значения (R) камня толщиной 1 дюйм, измеренный в часах на квадратные футы на градусы Фаренгейта на британские тепловые единицы. Высокое значение — это наивысший результат теста, полученный в диапазоне образцов, а низкое значение — это самый низкий достигнутый результат теста.Это общепринятый метод измерения изоляционных свойств изделий.
Институт натурального камня благодарит компанию SGS US Testing, члена Института натурального камня, Талса, Оклахома, за руководство и консультации.
Этот технический бюллетень содержит общие рекомендации. Американский институт мрамора и его компании-члены не несут ответственности за любое использование или неправильное использование, которое приводит к ущербу любого рода, включая потерю прав, материалов и телесные повреждения, предположительно вызванные прямо или косвенно информацией, содержащейся в этом документе.
рок | Определение, характеристики, образование, цикл, классификация, типы и факты
Текстура породы — это размер, форма и расположение зерен (для осадочных пород) или кристаллов (для магматических и метаморфических пород). Также важны степень однородности породы ( т. Е. Однородность состава ) и степень изотропии. Последнее — это степень, в которой объемная структура и состав одинаковы во всех направлениях в породе.
Анализ текстуры может дать информацию об исходном материале породы, условиях и среде осаждения (для осадочной породы) или кристаллизации и перекристаллизации (для магматической и метаморфической породы, соответственно), а также о последующей геологической истории и изменениях.
Классификация по размеру зерен или кристаллов
Общие текстурные термины, используемые для типов горных пород в зависимости от размера зерен или кристаллов, приведены в таблице. Категории размеров частиц получены из шкалы Уддена-Вентворта, разработанной для отложений.Для магматических и метаморфических пород в качестве модификаторов обычно используются термины — , например, среднезернистый гранит. Афанитный — это описательный термин для мелких кристаллов, а фанеритовый — для более крупных. Очень крупные кристаллы (более 3 сантиметров или 1,2 дюйма) называются пегматитовыми.
Для осадочных пород существуют широкие категории размера отложений: крупные (более 2 миллиметров или 0,08 дюйма), средние (от 2 до 1 / 16 миллиметров) и мелкие (менее 1 / 16 миллиметр).К последним относятся ил и глина, размер которых не различим для человеческого глаза, и их также называют пылью. Большинство сланцев (литифицированная версия глины) содержат некоторое количество ила. Пирокластические породы — это те, которые образованы из обломочного (от греческого слова «битый») материала, выброшенного из вулканов. Блоки — это осколки, отбитые от твердой породы, а бомбы при сбрасывании расплавляются.
Термин «порода» относится к основному объему материала, включая зерна или кристаллы, а также содержащееся пустое пространство.Объемная часть насыпной породы, не занятая зернами, кристаллами или природным вяжущим материалом, называется пористостью. Другими словами, пористость — это отношение пустотного объема к основному объему (зерна плюс пустотное пространство). Это пустое пространство состоит из пространства пор между зернами или кристаллами в дополнение к пространству трещин. В осадочных породах объем порового пространства зависит от степени уплотнения осадка (при этом уплотнение обычно увеличивается с глубиной захоронения), от устройства упаковки и формы зерен, от степени цементации и от степени сортировки. .Типичные цементы представляют собой кремнистые, известковые или карбонатные или железосодержащие минералы.
Сортировка — это тенденция осадочных пород иметь зерна одинакового размера — , то есть , чтобы иметь узкий диапазон размеров (см. Рисунок 2). Плохо отсортированный осадок имеет широкий диапазон размеров зерен и, следовательно, имеет пониженную пористость. Хорошая сортировка указывает на довольно равномерное распределение зерен. В зависимости от типа плотной упаковки зерен пористость может быть значительной. Следует отметить, что в технике — у.е.g., геотехническое или гражданское строительство — терминология сформулирована противоположно и называется классификацией. Отложения с хорошей сортировкой — это (геологически) плохо отсортированные отложения, а отложения с плохой сортировкой — это хорошо отсортированные отложения.
сортировка горных пород
Рисунок 2: Сортировка.
Encyclopædia Britannica, Inc.
Общая пористость охватывает все пустоты, включая те поры, которые связаны с поверхностью образца, а также те, которые закрыты естественным цементом или другими препятствиями.Таким образом, общая пористость (ϕ T ) составляет
, где Vol G — это объем зерен (и цемента, если он есть), а Vol B — общий объемный объем. В качестве альтернативы можно рассчитать ϕ T на основе измеренных плотностей основной породы и (моно) минерального компонента. Таким образом,
, где ρ B — плотность насыпной породы, а ρ G — плотность зерен ( i.е., минерал, если состав мономинералогичный и однородный). Например, если песчаник имеет ρ B 2,38 грамма на кубический сантиметр (г / см 3 ) и состоит из зерен кварца (SiO 2 ) с ρ G 2,65 г. / см 3 , общая пористость составляет
Кажущаяся (эффективная или чистая) пористость — это доля пустот, которая исключает закрытые поры. Таким образом, он измеряет объем пор, который эффективно взаимосвязан и доступен для поверхности образца, что важно при рассмотрении хранения и движения подземных флюидов, таких как нефть, грунтовые воды или загрязненные флюиды.
Теплопроводность — Энциклопедия Нового Света
Испытание на огнестойкость, используемое для проверки передачи тепла через противопожарные заглушки и пенетранты, используемые в строительных списках и одобрении использования и соответствия.
В физике теплопроводность , k {\ displaystyle k} — это свойство материала, которое указывает на его способность проводить тепло. Он появляется прежде всего в законе Фурье для теплопроводности.
Проводимость — наиболее важное средство передачи тепла в твердом теле.Зная значения теплопроводности различных материалов, можно сравнить, насколько хорошо они проводят тепло. Чем выше значение теплопроводности, тем лучше материал проводит тепло. В микроскопическом масштабе проводимость возникает, когда горячие, быстро движущиеся или колеблющиеся атомы и молекулы взаимодействуют с соседними атомами и молекулами, передавая часть своей энергии (тепла) этим соседним атомам. В изоляторах тепловой поток почти полностью переносится фононными колебаниями.
Математический фон
Во-первых, теплопроводность можно определить по формуле:
- H = ΔQΔt = k × A × ΔTx {\ displaystyle H = {\ frac {\ Delta Q} {\ Delta t}} = k \ times A \ times {\ frac {\ Delta T} {x} }}
, где ΔQΔt {\ displaystyle {\ frac {\ Delta Q} {\ Delta t}}} — скорость теплового потока, k — теплопроводность, A — общая площадь поверхности. Δ T — это разница температур, а x — толщина проводящей поверхности, разделяющей две температуры.
Таким образом, преобразование уравнения дает теплопроводность,
- k = ΔQΔt × 1A × xΔT {\ displaystyle k = {\ frac {\ Delta Q} {\ Delta t}} \ times {\ frac {1} {A}} \ times {\ frac {x} {\ Delta T}}}
(Примечание: ΔTx {\ displaystyle {\ frac {\ Delta T} {x}}} — это градиент температуры)
Другими словами, он определяется как количество тепла Δ Q , переданное за время Δ t через толщину x в направлении, перпендикулярном поверхности площадью A , за счет разность температур Δ T , в установившемся режиме и когда теплопередача зависит только от температурного градиента.
С другой стороны, это можно представить как поток тепла (энергия на единицу площади в единицу времени), деленный на градиент температуры (разность температур на единицу длины).
- k = ΔQA × Δt × xΔT {\ displaystyle k = {\ frac {\ Delta Q} {A \ times {} \ Delta t}} \ times {\ frac {x} {\ Delta T}}}
Типичными единицами являются СИ: Вт / (м · К) и английские единицы: БТЕ · фут / (ч · фут² · ° F). Для преобразования между ними используйте соотношение 1 Британские тепловые единицы · фут / (ч · фут² · ° F) = 1,730735 Вт / (м · К). [1]
Примеры
В металлах теплопроводность приблизительно соответствует электропроводности в соответствии с законом Видемана-Франца, поскольку свободно движущиеся валентные электроны переносят не только электрический ток, но и тепловую энергию. Однако общая корреляция между электрической и теплопроводностью не выполняется для других материалов из-за повышенного значения фононных носителей для тепла в неметаллах. Как показано в таблице ниже, серебро с высокой электропроводностью менее теплопроводно, чем алмаз, который является электрическим изолятором.
Теплопроводность зависит от многих свойств материала, особенно от его структуры и температуры. Например, чистые кристаллические вещества демонстрируют очень разную теплопроводность вдоль разных осей кристалла из-за различий в фононной связи вдоль данной оси кристалла. Сапфир является ярким примером переменной теплопроводности в зависимости от ориентации и температуры, для которой в справочнике CRC указана теплопроводность 2,6 Вт / (м · К), перпендикулярная оси c при 373 K, но 6000 Вт / ( м · К) при 36 градусах от оси c и 35 К (возможна опечатка?).
Воздух и другие газы, как правило, являются хорошими изоляторами при отсутствии конвекции. Следовательно, многие изоляционные материалы функционируют просто за счет наличия большого количества заполненных газом карманов, которые предотвращают крупномасштабную конвекцию. Их примеры включают вспененный и экструдированный полистирол (обычно называемый «пенополистиролом») и аэрогель кремнезема. Природные биологические изоляторы, такие как мех и перья, достигают аналогичного эффекта, резко подавляя конвекцию воздуха или воды возле кожи животного.
Теплопроводность играет важную роль в теплоизоляции зданий и в смежных областях. Однако материалы, используемые в таких отраслях, редко подвергаются стандартам химической чистоты. Ниже перечислены значения k некоторых строительных материалов. Их следует считать приблизительными из-за неопределенностей, связанных с определениями материалов.
Следующая таблица предназначена в качестве небольшой выборки данных для иллюстрации теплопроводности различных типов веществ. Более полные списки измеренных значений k см. В справочных материалах.
Список значений теплопроводности
Это список приблизительных значений теплопроводности, k , для некоторых распространенных материалов. Пожалуйста, обратитесь к списку значений теплопроводности, чтобы получить более точные значения, ссылки и подробную информацию.
Измерение
Вообще говоря, существует ряд возможностей для измерения теплопроводности, каждая из которых подходит для ограниченного диапазона материалов, в зависимости от тепловых свойств и температуры среды.Можно провести различие между методами установившегося и переходного режима.
Обычно методы установившегося режима выполняют измерение, когда температура измеряемого материала не изменяется со временем. Это упрощает анализ сигналов (устойчивое состояние подразумевает постоянные сигналы). Обычно недостатком является то, что для этого требуется хорошо спроектированная экспериментальная установка. Разделенный стержень (различных типов) является наиболее распространенным устройством, используемым для консолидированных проб горных пород.
Переходные методы выполняют измерения в процессе нагрева.Преимущество в том, что измерения можно проводить относительно быстро. Переходные методы обычно выполняются с помощью игольчатых зондов (вставленных в образцы или погруженных на дно океана).
Для хороших проводников тепла можно использовать метод стержня Серла. Для плохих проводников тепла можно использовать дисковый метод Лиза. Также можно использовать альтернативный традиционный метод с использованием настоящих термометров.
Тестер теплопроводности, один из инструментов геммологии, определяет, являются ли драгоценные камни настоящими алмазами, используя уникально высокую теплопроводность алмаза.
Стандартные методы измерения
- Стандарт IEEE 442-1981, «Руководство IEEE по измерениям теплового сопротивления почвы», см. Также gradient_thermal_properties. [4]
- Стандарт IEEE 98-2002, «Стандарт подготовки процедур испытаний для термической оценки твердых электроизоляционных материалов» [5]
- Стандарт ASTM D5470-06, «Стандарт Метод испытания теплопроводных свойств теплопроводных электроизоляционных материалов » [6]
- Стандарт ASTM E1225-04,« Стандартный метод испытания теплопроводности твердых тел с помощью метода защищенного сравнительного продольного теплового потока » [7]
- Стандарт ASTM D5930-01, «Стандартный метод испытания теплопроводности пластмасс с помощью метода нестационарного линейного источника» [8]
- Стандарт ASTM D2717-95, » Стандартный метод испытаний теплопроводности жидкостей » [9]
Разница между обозначениями США и Европы
В Европе коэффициент k строительных материалов (например,грамм. оконное стекло) называется λ-значением.
U-значение раньше называлось k-значением в Европе, но теперь его также называют U-значением.
Значение K (с большой буквы) относится в Европе к общей стоимости изоляции здания. K-значение получается путем умножения форм-фактора здания (= общая внутренняя поверхность внешних стен здания, деленная на общий объем здания) на среднее значение U внешних стен здания. . Таким образом, значение K выражается как (m 2 .m -3 ). (W.K -1 .m -2 ) = W.K -1 .m -3 . Таким образом, для дома объемом 400 м³ и коэффициентом К 0,45 (новая европейская норма. Его обычно называют K45) теоретически потребуется 180 Вт для поддержания внутренней температуры на 1 градус К выше наружной температуры. Так, чтобы поддерживать в доме температуру 20 ° C, когда на улице морозы (0 ° C), требуется 3600 Вт постоянного обогрева.
Связанные термины
Обратная величина теплопроводности равна , удельное тепловое сопротивление , измеренное в кельвин-метрах на ватт (К · м · Вт −1 ).
При работе с известным количеством материала можно описать его теплопроводность и взаимное свойство тепловое сопротивление . К сожалению, эти термины имеют разные определения.
Первое определение (общее)
Для общенаучного использования теплопроводность — это количество тепла, которое проходит за единицу времени через пластину определенной площади и толщины , когда ее противоположные грани различаются по температуре на один градус.Для пластины с теплопроводностью k , площадью A и толщиной L это kA / L , измеренное в W · K -1 (эквивалент: Вт / ° C). Теплопроводность и проводимость аналогичны электрической проводимости (А · м -1 · В -1 ) и электрической проводимости (А · В -1 ).
Существует также мера, известная как коэффициент теплопередачи: количество тепла, которое проходит за единицу времени через единиц площади пластины определенной толщины, когда ее противоположные стороны различаются по температуре на один градус.Обратное значение — , теплоизоляция . В итоге:
- теплопроводность = кА / L , измеренная в Вт · К −1
- тепловое сопротивление = L / кА , измерено в K · Вт −1 (эквивалент до: ° C / Вт)
- коэффициент теплопередачи = k / L , измеряется в Вт · K -1 · м -2
- теплоизоляция = L / k , измеряется в K · м² · W -1 .
Коэффициент теплопередачи также известен как теплопроводность
Термическое сопротивление
Когда термические сопротивления возникают последовательно, они складываются. Таким образом, когда тепло проходит через два компонента, каждый с сопротивлением 1 ° C / Вт, общее сопротивление составляет 2 ° C / Вт.
Общая проблема инженерного проектирования включает выбор радиатора подходящего размера для данного источника тепла. Работа в единицах теплового сопротивления значительно упрощает расчет конструкции.Для оценки производительности можно использовать следующую формулу:
- Rhs = ΔTPth − Rs {\ displaystyle R_ {hs} = {\ frac {\ Delta T} {P_ {th}}} — R_ {s}}
где:
- R hs — максимальное тепловое сопротивление радиатора окружающей среде, ° C / Вт
- ΔT {\ displaystyle \ Delta T} — разница температур (падение температуры), ° C.
- P th — тепловая мощность (тепловой поток), в ваттах
- R s — тепловое сопротивление источника тепла в ° C / Вт
Например, если компонент выделяет 100 Вт тепла и имеет тепловое сопротивление 0.5 ° C / Вт, какое максимальное тепловое сопротивление радиатора? Допустим, максимальная температура составляет 125 ° C, а температура окружающей среды — 25 ° C; тогда ΔT {\ displaystyle \ Delta T} равно 100 ° C. В этом случае тепловое сопротивление радиатора окружающей среде должно составлять 0,5 ° C / Вт или меньше.
Второе определение (здания)
Когда речь идет о зданиях, термическое сопротивление или R-значение означает то, что описано выше как теплоизоляция, а теплопроводность означает обратное.Для материалов, соединенных последовательно, эти тепловые сопротивления (в отличие от проводимости) можно просто добавить, чтобы получить тепловое сопротивление для всего.
Третий член, коэффициент теплопередачи , включает теплопроводность конструкции наряду с теплопередачей за счет конвекции и излучения. Он измеряется в тех же единицах, что и теплопроводность, и иногда известен как комбинированный коэффициент теплопроводности . Термин U-значение является еще одним синонимом.
Таким образом, для пластины с теплопроводностью k (значение k [10] ), площадь A и толщина L :
- теплопроводность = k / L , измеренная в Вт · K −1 · м −2 ;
- термическое сопротивление (значение R) = L / k , измеряется в К · м² · Вт -1 ;
- коэффициент теплопередачи (значение U) = 1 / (Σ ( L / k )) + конвекция + излучение, измеряется в Вт · К −1 · м −2 .
Текстильная промышленность
В текстильных изделиях значение tog может указываться как мера теплового сопротивления вместо меры в единицах СИ.
Истоки
Теплопроводность системы определяется тем, как взаимодействуют атомы, составляющие систему. Простых и правильных выражений для теплопроводности не существует. Есть два разных подхода к расчету теплопроводности системы.
Первый подход использует отношения Грина-Кубо.Хотя здесь используются аналитические выражения, которые в принципе могут быть решены, для расчета теплопроводности плотной жидкости или твердого тела с использованием этого соотношения требуется использование компьютерного моделирования молекулярной динамики.
Второй подход основан на подходе времени релаксации. Известно, что из-за ангармонизма внутри кристаллического потенциала фононы в системе рассеиваются. Существует три основных механизма рассеяния (Шривастава, 1990):
- Граничное рассеяние, попадание фонона на границу системы;
- Рассеяние на дефекте массы, удары фонона о примесь внутри системы и рассеяние;
- Фонон-фононное рассеяние, фонон распадается на два фонона с более низкой энергией или фонон сталкивается с другим фононом и сливается с одним фононом с более высокой энергией.
См. Также
Банкноты
- ↑ Справочник инженеров-химиков Perry, 7-е изд., Таблица 1-4.
- ↑ 2,0 2,1 Теплопроводность некоторых распространенных материалов Проверено 26 мая 2008 г.
- ↑ Теплопроводность металлов Проверено 26 мая 2008 г.
- ↑ Руководство IEEE по измерениям термического сопротивления почвы Проверено 26 мая 2008 г.
- ↑ Стандарт подготовки процедур испытаний для термической оценки твердых электроизоляционных материалов, последнее обращение 26 мая 2008 г.
- ↑ Стандартный метод испытаний теплопроводных свойств теплопроводных электроизоляционных материалов, последнее обращение 26 мая 2008 г.
- ↑ Стандартный метод испытаний теплопроводности твердых тел с помощью метода охраняемого сравнительного продольного теплового потока Проверено 26 мая 2008 г.
- ↑ Стандартный метод испытаний теплопроводности пластмасс с помощью метода нестационарного линейного источника Проверено 26 мая 2008 г.
- ↑ Стандартный метод испытаний теплопроводности жидкостей, получено 26 мая 2008 г.
- ↑ Определение значения k из Plastics New Zealand Получено 26 мая 2008 г.
Список литературы
- Байерлейн, Ральф. 2003. Теплофизика . Кембридж: Издательство Кембриджского университета. ISBN 0521658381
- Халлидей, Дэвид, Роберт Резник и Джерл Уокер. 1997. Основы физики , 5 изд. Нью-Йорк: Вили. ISBN 0471105589
- Serway, Raymond A. и John W. Jewett. 2004. Физика для ученых и инженеров. Бельмонт, Калифорния: Томсон-Брукс / Коул. ISBN 0534408427
- Шривастава, Г. П. 1990. Физика фононов. Бристоль: А. Хильгер. ISBN 0852741537
- Янг, Хью Д. и Роджер А. Фридман. 2003. Физика для ученых и инженеров . Сан-Франциско, Калифорния: Пирсон. ISBN 080538684X
Внешние ссылки
Все ссылки получены 6 февраля 2020 г.
Кредиты
Энциклопедия Нового Света Писатели и редакторы переписали и завершили статью Википедии
в соответствии со стандартами New World Encyclopedia .Эта статья соответствует условиям лицензии Creative Commons CC-by-sa 3.0 (CC-by-sa), которая может использоваться и распространяться с указанием авторства. Кредит предоставляется в соответствии с условиями этой лицензии, которая может ссылаться как на участников Энциклопедии Нового Света, участников, так и на самоотверженных добровольцев Фонда Викимедиа. Чтобы процитировать эту статью, щелкните здесь, чтобы просмотреть список допустимых форматов цитирования. История более ранних публикаций википедистов доступна исследователям здесь:
История этой статьи с момента ее импорта в Энциклопедия Нового Света :
Примечание. Некоторые ограничения могут применяться к использованию отдельных изображений, на которые распространяется отдельная лицензия.
| Название материала | Плотность | Удельное тепло | Теплопроводность | Тепловая эффективность |
| кг / м 3 | Дж / кг · К | Вт / м · К | Ws ,5 / м 2 K | |
| Воздух | 1.29 | 1004 | 0,025 | 6 |
| Алюминий | 2698 | 921 | 226 | 23688 |
| Бронза, кремний, высокая | 8530 | 377 | 33 | 10369 |
| Углерод, графит (типичный k) | 2250 | 707 | 167 | 16318 |
| Бетон, легкий | 950 | 657 | 0.209 | 361 |
| Медь | 8940 | 385 | 397 | 36983 |
| Эпоксидная смола, ненаполненная, литая | 1200 | 1046 | 0,188 | 486 |
| шамотный кирпич, штат Миссури | 2000 | 753 | 1,004 | 1230 |
| Плавленое кварцевое стекло | 2200 | 745 | 1,381 | 1504 |
| Золото | 19300 | 128 | 318 | 28027 |
| Известняк (h3o 15.3) | 1650 | 921 | 0,92 | 1182 |
| Магний | 1740 | 1004 | 151 | 16221 |
| Изоляционный порошок слюды | 330 | 837 | 0,121 | 183 |
| Полиметилметакрилат | 1180 | 1464 | 0,209 | 601 |
| Пенополистирол, вспененный, жесткий | 100 | 1130 | 0.035 | 63 |
| Поливинилбутираль | 1100 | 1674 | 0,084 | 393 |
| Поливинилиденхлорид | 1700 | 1339 | 0,126 | 535 |
| Pyroceram 9608 керамическое стекло | 2500 | 808 | 2,05 | 2034 |
| Резина бутиловая | 900 | 1966 | 0,088 | 394 |
| Каучук натуральный | 930 | 2092 | 0.138 | 518 |
| Резина натуральная, поролоновая | 100 | 2092 | 0,042 | 94 |
| Серебро | 10500 | 236 | 427 | 32520 |
| Почва песчаная сухая | 1650 | 795 | 0,264 | 588 |
| Сталь нержавеющая 304 | 7920 | 502 | 15 | 7631 |
| Сталь нержавеющая 446 | 7600 | 460 | 23 | 8955 |
| Сталь нержавеющая 501 и 502 | 7800 | 460 | 38 | 11626 |
| Тефлон | 2170 | 1004 | 0.251 | 740 |
| Титановый сплав imi 679 (sn11, zr5, al2) | 4840 | 481 | 7 | 3949 |
| Вода (жидкость) | 1000 | 4184 | 0. |



Обладает равномерной структурой;
также Железобетон
м.
м.
м. с учетом пустот). При кладке на цементно-песчанный раствор.
При плотности — 1600 куб.м.
м.
При плотности — 1800 куб.м.
1 атм

При этом даже повышенная влажность не повлияет на особенности теплоизоляции в помещении.
Поэтому еще на стадии проектирования зданий в конструкцию закладываются две разновидности стройматериалов: конструкционные и теплоизоляционные. Первые обладают повышенной прочностью, но большой теплопроводностью, и именно их чаще всего и используют для возведения стен, перекрытий, оснований и фундаментов. Вторые – это материалы с низкой теплопроводностью. Их основное назначение – закрыть собой конструкционные материалы, чтобы понизить их показатель тепловой проводимости. Поэтому для облегчения расчетов и выбора используется таблица теплопроводности строительных материалов.


Даже применяя низкопроводной материал, толщина сооружения не должна быть менее 50 см.

При незначительном уменьшении теплообмена в некоторых случая может потребоваться утепление еще и снаружи основного каркаса.
Тепловые свойства, которые имеют отношение к поведению при пожаре, включают теплопроводность (k), массовую плотность (ρ), удельную теплоемкость (Cp), а для материалов, которые могут подвергаться термической деградации (например, пиролизу), теплоту газификации (Lg). и температура воспламенения (Tig).
Пример подхода с поправкой на температуру предоставлен Харпером (1); в данном документе тепловая инерция при температуре воспламенения рассчитывается как тепловая инерция при комнатной температуре, умноженная на отношение комнатной температуры к температуре воспламенения:
Отправной точкой анализа является одномерное уравнение теплопроводности:
Глубина проникновения определена приблизительно:
Предполагается, что перед испытанием известны массовая плотность и температуропроводность материала. Массовая плотность просто получается из измерения веса. Во время испытаний регистрируются скорость потери массы, время до возгорания и тепловой поток излучаемой панели. На рис. 1 показано типичное изменение величины, обратной корню квадратному из времени воспламенения, в зависимости от теплового потока излучаемой панели.
Журнал пожарной безопасности. №4 июня 2001 г., т. 36.
004
903
148
468
378
55
687
646
434
4
3
43
4
12
38
7-2,2
95
2-5,6
88
15-1,3
05
17
45
57
6-8,4
72
14
11
27
22
12-0,04
04
4
18
758
04
Измеряется экспериментально. Lg является обратной величиной крутизны скорости потери массы на единицу площади поверхности в зависимости от внешнего теплового потока.
, Д.Папа, р. Могтадери, Э. Кеннеди и Дж. Лукас. Огненные свойства австралийского эвкалипта. Представлено на 4-й Международной научной конференции «Древесина и пожарная безопасность», Высокие Татры, Словацкая Республика, 2000 г.
Журнал пожарной безопасности, 2001, том 36, стр. 391-415.
Конусный калориметр для измерения теплоты газификации древесины. Интерфлам 93 года. Лондон: Interscience Communications Limited, 1993.
73
80